题目列表(包括答案和解析)

 0  121555  121563  121569  121573  121579  121581  121585  121591  121593  121599  121605  121609  121611  121615  121621  121623  121629  121633  121635  121639  121641  121645  121647  121649  121650  121651  121653  121654  121655  121657  121659  121663  121665  121669  121671  121675  121681  121683  121689  121693  121695  121699  121705  121711  121713  121719  121723  121725  121731  121735  121741  121749  447348 

5、右图为葡萄糖浓度与细菌生长速率的关系图,造成葡萄糖浓度高于5μm后,生长速率渐趋一致的主要原因是(   )

A.直接影响DNA的复制

B.直接影响蛋白质的合成

C.细胞膜输入葡萄糖的能力趋近饱和

D.对细胞分裂所需的酶产生毒性

试题详情

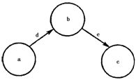
4、下图是表示人体和人体细胞内某些信息传递机制的模

式图。下列有关叙述中不正确的是(   )

A.如果该图表示细胞中遗传信息的表达过程,则e 过

程只发生于核糖体中

B.如果a表示抗原决定簇, b表示吞噬细胞和T

细胞, c为B细胞,则该过程为体液免疫

C.如果该图表示反射弧,则其中的信息是以局部电流的形式传导的

D.如果该图中a为下丘脑, b为垂体后叶, c为肾小管和集合管,则d 和e为同一物质

试题详情

3、下图表示几种含氮物质之间相互转化的关系,据图所作的叙述中,正确的是(   )

A.部分细菌、蓝藻可以完成①,它们的细胞中均没有核膜

B.能进行②过程的生物在水淹时可能更有利其代谢,能进行④过程的生物均属于固氮生物

C.人体肝细胞通过⑦过程可以获得各种必需氨基酸

D.不能独立进行⑧过程的生物,其遗传信息必定 

储存于RNA中

试题详情

2、下列关于人体生命活动有关的叙述中错误的是(   )

  A.甲状腺机能亢进的患者往往表现为食量大、身体消瘦、精神亢奋

  B.花粉引起人体过敏反应,毛细血管通透性增加,会造成局部水肿

  C.胰岛素是唯一能够降低血糖浓度的激素,而促进血糖浓度升高的激素不止一种

  D.青霉素可用于“非典型性肺炎”的治疗,因为青霉素可抑制所有微生物的繁殖

试题详情

1、下列过程中没有发生膜融合的是(   )

   A.效应B细胞合成、分泌抗体           B.消化道上皮细胞吸收甘油

    C.精子和卵细胞结合形成受精卵      D.神经细胞分泌神经递质

试题详情

34.(14分)以下是几位同学在进行细胞有丝分裂实验操作的情况,请分析:

甲同学从解离液中取出材料,立即染色,实验效果很差;乙同学将已染色的材料立即盖上盖玻片观察,看不请细胞;丙同学将制好的玻片直接用高倍镜观察,花了很多时间,找不到细胞;丁同学在正确地进行了一系列操作后,镜检时在呈长方形的细胞中无法找到分裂期的细胞;戊同学找到了分裂期细胞,换高倍镜后该分裂期细胞不见了,而且视野很暗,很难观察。

  (1)甲操作上的错误是           ,实验效果差的原因是         

                           。                       

  (2)乙操作上的错误是         ,看不清细胞的原因是         

  (3)丙操作上的错误是                           

  (4)丁找不到分裂期细胞的原因是                      

  (5)戊高倍镜下找不到分裂期细胞的原因是                   

             ,视野太暗的原因是              

试题详情

33.(14分)在自然界中生物的发光现象普遍存在,生物通过细胞的生化反应而发光。请设计实验探究萤火虫的发光强度与ATP浓度的关系。

实验材料:萤火虫的萤光器晒干后研成的粉末、蒸馏水、大小相同的小烧杯若干,标签纸若干。

    实验步骤:                                

                                         

                                           

试验现象预测:                              

                                           

实验结论                                 

                                       

试题详情

32.(26分)

    Ⅰ.(12分)在适宜温度下,采用完全营养液培养黄瓜幼苗,研究营养液中氧含量变化对K+吸收速率的影响。

    实验结果如下图,分析并回答下列问题。

  (1)黄瓜幼苗根系细胞吸收K+的方式  是           ,图中ab段为此提供的依据是         ,表明该过程需要          。曲线bc段限制K+吸收速率的内在因素是                             

  (2)植物的生长都有一个最适温度。在氧含量等条件稳定、适宜的情况下,研究在10℃-45℃范围内的温度变化对黄瓜幼苗K+吸收速率的影响,预期K+吸收速率变化的趋势是                 

    Ⅱ.(14分)下图是绿色植物体内能量供应及利用的示意图,请据图回答:

  (1)A过程中主要吸收红橙光和蓝紫光的色素是          ,提取A中的色素所用的溶剂是              。

  (2)研究B过程中物质变化常用的方法是            ,C过程进行的场所是                ,C过程的能量变化可表示为                        

  (3)与D过程有关的植物生命活动有                  (举两例)。

  (4)A、B、C、D过程中的化学变化均与有关酶相关,酶与无机催化剂相比,具有高校性的原因是                      。

  (5)从图中分析,影响光合作用的内因是               。

试题详情

31.(14分)在MgCl2和AlCl3的混合溶液中,逐滴加入NaOH溶液直至过量。经测定,加入的NaOH的物质的量(mol)和所得沉淀的物质的量(mol)的关系如图所示。

  (1)写出代表各线段发生反应的离子方程式

OD段_______________________________________

CD段_______________________________________

  (2)原溶液中Mg2+、Al3+物质的量浓度之比为________。

  (3)图中C点表示当加入_______molNaOH时,Al3+已经_______,Mg2+已经_________。

  (4)图中线段OA:OB=__________。

试题详情

30.(16分)在呼吸面具和潜水艇中可用过氧化作为供氧剂。请选择适当的化学试剂和实验用品,用下图中的实验装置进行实验,证明过氧化钠可作供氧剂。

  (1)A是制取CO2的装置。写出A中发生反应的化学方程式:

  (2)填写表中空格:

仪器
加入试剂
加入该试剂的目的
B
饱和NaHCO3溶液
 
C
 
 
D
 
 

  (3)写出过氧化钠与二氧化碳反应的化学方程式:______________________________

  (4)试管F中收集满气体后,下一步实验操作是:______________________________

______________________________________________________________________

试题详情


同步练习册答案