题目列表(包括答案和解析)

 0  122082  122090  122096  122100  122106  122108  122112  122118  122120  122126  122132  122136  122138  122142  122148  122150  122156  122160  122162  122166  122168  122172  122174  122176  122177  122178  122180  122181  122182  122184  122186  122190  122192  122196  122198  122202  122208  122210  122216  122220  122222  122226  122232  122238  122240  122246  122250  122252  122258  122262  122268  122276  447348 

8. 下列反应对应的离子方程式中正确的是          

   A.FeCl3溶液中加入铁粉:Fe+Fe3+   2Fe2+

   B.NH4HSO4溶液中加入少量NaOH:NH+OH   NH3·H2O

C.明矾溶液中加入过量氨水:A13++3NH3·H2O=Al(OH)3↓+3NH4+

D.氯气通入Na2SO3溶液中:Cl2+SO+H2O  SO+2HCl

试题详情

7.某酸式盐NaHA的水溶液呈碱性,下列叙述正确的是     

   A.NaHA的电离方程式:NaHA   Na++H++A2-

   B.HA-的水解方程式:HA-+H2O     H3O++A2-

   C.该溶液中离子的物质的量浓度关系:

    C(Na+)>C(HA-)>C(OH-)>C(H+)>C(A2-)

   D.该溶液中离子的物质的量浓度关系:

    C(Na+)+ C(H+)= C(OH-)+ C(A2-)+ C(OH-)

试题详情

6.人类生活离不开化学知识,下列叙述不正确的是      

   A.臭氧是饮用水的理想消毒剂之一,因为它杀菌能力强且不影响水质

   B.因患“禽流感”而被捕杀的家禽尸体常用生石灰处理

   C.医疗上常用体积分数为75%的酒精进行皮肤消毒

   D.食品加工、消毒、防腐常使用福尔马林

试题详情

5.一般感染麻疹后就终生不再感染,而感染流行性感冒后,仍会再感染的原因是(  ) 

 A.感冒病毒的基因发生突变引起衣壳变化    B.流行性感冒病毒破坏免疫系统

 C.流行性感冒病毒阻止身体产生抗体      D.流行性感冒病毒不会引起免疫反应

试题详情

4.将二倍体玉米的幼苗用秋水仙素处理,待其长成后用其花药进行离体培养得到了新的植株,下列有关新植株的叙述正确的一组是(  )                    

①是单倍体;②体细胞内没有同源染色体;③不能形成可育的配子; ④体细胞内有同源染色体;⑤能形成可育的配子;⑥可能是纯合子也有可能是杂合子;⑦一定是纯合子;⑧是二倍体。

   A.④⑤⑦⑧   B.①②③⑥    C.①④⑤⑥       D. ①④⑤⑦

试题详情

2.下列有关新陈代谢的叙述中,正确的是(   )

A.在绿色植物的个体发育中先进行异化作用,再进行同化作用

B.鸡的红细胞和哺乳动物的红细胞只进行无氧呼吸并释放能量

C.将小白鼠从20℃移至0℃的环境中,小白鼠将出现耗氧量减少、心率加快

D.若水稻02吸收量的相对值为0.3时,CO2释放量的相对值0.7,则无氧呼吸与有氧呼吸消耗的葡萄糖之比为4:1

  3.下图表示3种哺乳动物由于周围环境温度变动而发生的代谢速度变化。在以下叙述中不正确的是 (   )

A.动物Y比动物Z更能适应寒冷的环境

B.动物X对温度变化生理调节能力很差

C.在温度t1时,动物X、Y、Z代谢速度相同

D.在低于t2的温度条件下,动物Z代谢速度逐渐增加

试题详情

1.在高等植物细胞中有两种大量元素是淀粉中不含有而核酸中含有的 关于这两种元素的相关叙述,错误的是(   )

A.这两种元素是生物膜、三磷酸腺苷、染色体、辅酶Ⅱ的主要组成元素

B.一种施用过多会造成农作物倒伏,另一种则与植物体内糖类合成和运输有关

C.健康的成年人,摄入和排出这两种元素的量基本相等

D.在只缺这两种元素的营养液中培养正常植物首先表现缺素症的是老叶

试题详情

32.(10分)请分析回答下列有关现代生物科技方面的问题:

(1)基因工程的基本操作程序:

①第一步是目的基因的获取,第二步是基因表达载体的构建,第三步是将目的基因导入受体细胞,第四步是                      

②利用PCR技术扩增目的基因的过程中,目的基因受热形成单链并与引物结合,在          酶的作用下延伸形成DNA。

③采用农杆菌转化法将目的基因导入植物细胞后,培养该细胞再生成植株的过程中,往往需要使用植物激素,人为地控制细胞的              

④如果转基因植物的花粉中含有毒蛋白,将引起的安全性问题包括          。  (填字母:A生物安全 B环境安全  C食品安全 

 D伦理道德问题  )

 (2) 在单克隆抗体制备过程中,经人工诱导后,骨髓瘤细胞和产生免疫反应的动物的脾脏细胞中的B淋巴细胞融合。由于可能产生多种融合细胞,因此还需对融合细胞进行   

         

试题详情

31.(13分)X、Y、Z、Q、E五种元素中,X原子核外的M层中只有两对成对电子,Y原子核外的L层电子数是K层的两倍,Z是地壳内含量(质量分数)最高的元素,Q的核电荷数是X与Z的核电荷数之和,E在元素周期表的各元素中电负性最大。请回答下列问题:

(1)X、Y的元素符号依次为           

(2)XZ2与YZ2分子的立体结构分别是            ,相同条件下两者在水中的溶解度较大的是      (写分子式),理由           

                            

(3)Q的元素符号是     ,它的核外电子排布式            

(4)用氢键表示式写出E的氢化物溶液中存在的所有氢键       

试题详情

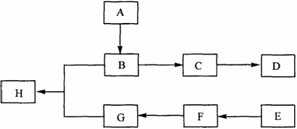
30.(13分)

下图中A、B、C、D、E、F、G、H均为有机化合物。

   回答下列问题:

   (1)有机化合物 A的相对分子质量小于60,A能发生银镜反应,1molA在催化剂作用下能与3 mol H2反应生成B,则A的结构简式是________________,

由A生成B的反应类型是________________;

   (2)B在浓硫酸中加热可生成C,C在催化剂作用下可聚合生成高分子化

合物D,由C生成D的化学方程式是__________________________ ;

(3)①芳香化合物E的分于式是C8H8Cl2。E的苯环上的一溴取代物只有一种,则E的所有可能的结构简式是

_____________________________________________________________________       

   ②E在NaOH溶液中可转变为F,F用高锰酸钾酸性溶液氧化生成G(C8H6O4)。1 mol G与足量的 NaHCO3溶液反应可放出 44.8 L CO2(标准状况),由此确定E的结构简式是_________________________

   (4)G和足量的B在浓硫酸催化下加热反应可生成H,则由G和B生成H的化学方程式是___________________________________________________________________,

该反应的反应类型是_________________。

试题详情


同步练习册答案