题目列表(包括答案和解析)

 0  122651  122659  122665  122669  122675  122677  122681  122687  122689  122695  122701  122705  122707  122711  122717  122719  122725  122729  122731  122735  122737  122741  122743  122745  122746  122747  122749  122750  122751  122753  122755  122759  122761  122765  122767  122771  122777  122779  122785  122789  122791  122795  122801  122807  122809  122815  122819  122821  122827  122831  122837  122845  447348 

6.下列各组物质在适宜的条件下反应,其中氧化剂与还原剂物质的量这比为2:1的是(   )

    A.H2SO4(浓)+C                 B.Fe2O3+Al

    C.Cl2+Mg                        D.NO2+H2O

试题详情

5.科学家做了两项实验:

  (1)用适当浓度的生长素溶液处理未授粉的番茄花蕾子房,发育成无籽番茄。

  (2)用四倍体与二倍体西瓜杂交,获得三倍体西瓜株,给其雌蕊授二倍花粉,子房发育成无籽西瓜。下列有关叙述正确的是                        (   )

    A.上述无籽番茄性状能遗传

    B.若取无籽番茄植株进行无性繁殖,长成的植株所结果实中有种子

    C.上述无籽西瓜进行无性繁殖,长成的植株所结果实中有种子

    D.若取上述无籽西瓜进行无性繁殖,长成的植株子房壁细胞含四个染色体组

试题详情

4.碱基互补配对发生下列哪些生理过程或生物技术中:                     (   )

①种子的萌发      ②病毒的增殖过程       ③细菌的二分裂过程

   ④目的基因与运载体的结合   ⑤DNA探针的使用   ⑥分泌蛋白的加工和运输

    A.①②③④⑤     B.①②③④⑤⑥   C.②④⑤         D.②③⑤⑥

试题详情

3.下列表格内容完全正确与完全错误的选项分别是:                       (   )

    A.④③          B.②①          C.④①          D.②③

生物种类
细胞结构
核苷酸种类
代谢类型
主要繁殖方式
变异来源
①艾滋病毒
真核细胞
4
异养厌氧
分裂生殖
基因重组
②酵母菌
真核细胞
8
异养兼性厌氧
有性生殖
基因突变
③硝化细菌
真核细胞
4
异养需氧
出芽生殖
基因突变染色体变异
 
④小麦
 
真核细胞
 
8
自养需氧
有性生殖
基因突变基因重组染色体变异

试题详情

2.甲、乙、丙中的曲线分别表示一种生命现象,坐标a、b、c表示生命活动中的一种变量。

   生命现象:①生长素的浓度对根和茎生长速率的影响;

②恒温动物、变温动物体温变化与温度的关系;

③光照强度与光合作用速率的关系;

   变量:Ⅰ:CO2的吸收量(释放量);  Ⅱ:温度   Ⅲ:生长速率

下列关于甲、乙、丙所表示的生命现象及a、b、c所表示的变量组合正确的一组为:(   )

A.甲为①  a为Ⅲ;    乙为③  b为Ⅲ;  丙为②  c为Ⅰ

    B.甲为②  a为Ⅱ;    乙为③  b为Ⅲ;  丙为①  c为Ⅰ

    C.甲为③  a为Ⅰ;    乙为①  b为Ⅲ;  丙为②  c为Ⅱ

    D.甲为①  a为Ⅲ;    乙为③  b为Ⅰ;  丙为②  c为Ⅱ

试题详情

1.“同位素标记法”探明了许多生化反应的详细过程。下列说法正确的是        (   )

    A.用15N标记脱氧核苷酸探明了分裂时期染色体态和数目的变化规律

    B.用18O分别标记H2O和CO2有力地证明了CO2是光合作用的原料

    C.用14C标记CO2探明了CO2中碳元素在光合作用中的转移途径

    D.用35S标记噬体的DNA并以此侵染大肠杆菌证明了DNA是遗传物质

试题详情

31.(24分)Ⅰ.孔雀鱼是一种常见的观赏鱼,其性别决定方式属于XY型,是非常好的遗传学实验材料。人们在孔雀鱼的培养和育种过程中遇到了很多关于核遗传的问题。

  (1)几十年前,德国的一位育种者在众多的孔雀鱼幼鱼中发现一条身体后半部为暗色的个体,并以此个体为基础培育出了“礼服”品种。“礼服”品种的产生可能来自________ (变异来源)。若用“礼服’’品种的雄鱼与其它品种的雌鱼杂交,子代个体中雌鱼均表现“礼服”性状,而雄鱼均无“礼服”性状。以此现象判断,“礼服”基因有可能是位于________ 染色体上的________ 性基因。“白金”品种身体前半部为明亮的银白色,“白金”基因位于Y染色体上,若要以已有的“礼服”品种和“白金”品种为亲本培育“白金礼服’’品种,应选用“________”品种为母本,“________”品种为父本。

  (2)“双剑”品种尾鳍上下缘延长,有人在实验中用两尾无“双剑”性状的亲鱼杂交,后代中雌雄均出现一定比例的“双剑”个体,若用A和a(大写字母表示显性基因)表示“双剑”基因及其等位基因,请你用遗传图解解释此现象。(要求写出配子)

  (3)日本孔雀鱼育种者培育了名为“美杜莎”的品种,只有雄鱼表现出品种特有的性状,经检测该品种雄鱼性染色体组成为XYY,且两条Y染色体上所带的基因存在明显差异。“美杜莎”品种的产生有可能是在________性亲代个体的减数第________次分裂中遗传物质分配异常所造成。

Ⅱ.金鱼是家养鱼品种,用于观赏的性状多种多样。请利用遗传学和生物进化知识,回答以下问题。

  (1)有实验证明,任何一种金鱼都可以与野生鲫鱼杂交,其后代都能正常繁殖。这说明金鱼与野生鲫鱼之间不存在      现象。

  (2)金鱼的每一种变异性状(如透明鳞、龙眼、多尾鳍等),最初都来自于基因突变。现在市场上出售的金鱼,一个个体上常表现多种人们喜爱的变异性状,这主要是     和人工选择的结果。

  (3)当紫色鱼与灰色鱼杂交时,所得的F1全部为灰色鱼。F1自交时,所产生的下一代中灰色鱼与紫色鱼的数量比接近15:1。这时,紫色鱼的基因型是     (自拟基因符号)。

试题详情

30.(20分)Ⅰ.一天中,外界的光强、温度、土壤和大气的水分状况、空气中的CO2浓度以及植物体的水分与光合中间产物含量、气孔开度等都在不断地变化,这些变化会使光合速率发生日变化。下图表示,某植物一天中光合速率(曲线P)和气孔开度(曲线C)的变化。试据图分析回答:

  (1)对光合速率日变化的影响最大的环境因素是       的日变化。在相同光照强度时,通常下午的光合速率要比上午的光合速率      

  (2)由图中曲线可以看出,曲线P和曲线C基本呈平行关系。原因是                  

                                

  (3)在温暖、水分供应充足的条件下,光合速率变化随光照强度日变化的情况是    

                                   

  (4)当光照强烈、气温过高时,中午前后,光合速率下降,呈现“午睡”现象。此时,植物体内的光合中间产物          的含量将降低。

Ⅱ.科学家研究发现紫外光可以抑制植物生长,原因是紫外光增加了植物体内吲哚乙酸氧化酶的活性,从而促进了生长素氧化为3-亚甲基氧代吲哚,而后者没有促进细胞伸长的作用。现在提供生长状况相同的健康的小麦幼苗若干作为实验材料,请完成下列实验方案,以验证紫外光抑制植物生长与生长素的氧化有关。

步骤1 :将小麦幼苗平均分为甲组和乙组;

步骤2 :给予甲组          光照,给予乙组           光照;

步骤3 :观察两组幼苗的    并测量                 的含量;

预测实验结果:                              

试题详情

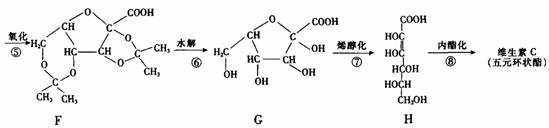
29.(12分)维生素C(分子式为C6H8O6)可预防感染、坏血病等。其工业合成路线如下图所示:

I.(1)上述①-③反应中,属于加成反应的有     (填数字序号)。

  (2)A-G七种物质中与C互为同分异构体的有     (填字母序号)。

  (3)比较D和G的结构可知,G可看成由D通过氧化得到。工业生产中在第⑤步氧化的前后设计④和⑥两步的目的是    

  (4)维生素C的结构简式是    

Ⅱ.已知,,       假设酸性条件下,上述步骤⑥的水解比酯的水解容易的多,

利用本题中的信息,设计合理方案由              (用反应流程图表示,并注明反应条件)。    

例:由乙醇合成聚乙烯的反应流程图可表示为

试题详情

28.(12分)已知A为常见金属,X、Y为常见非金属,X、E、F、G常温下为气体,C为液体,B是一种盐,受热极易分解,在工农业生产中用途较广(如被用作某些电池的电解质)。现用A与石墨作电极,B的浓溶液作电解质,构成原电池。有关物质之间的转化关系如下图:

  (注意:其中有些反应的条件及部分生成物被略去)

请填写下列空白:

  (1)B的电子式___________,B中含有的化学键有_______________________________。

  (2)反应④为A在某种气体中燃烧,生成单质Y和A的氧化物,其反应方程式为      

  (3)从D溶液制备D的无水晶体的 “操作a”为           

  (4)反应⑤的化学方程式为                     

  (5)原电池反应①中正极的电极反应式为              

试题详情


同步练习册答案