题目列表(包括答案和解析)

 0  123146  123154  123160  123164  123170  123172  123176  123182  123184  123190  123196  123200  123202  123206  123212  123214  123220  123224  123226  123230  123232  123236  123238  123240  123241  123242  123244  123245  123246  123248  123250  123254  123256  123260  123262  123266  123272  123274  123280  123284  123286  123290  123296  123302  123304  123310  123314  123316  123322  123326  123332  123340  447348 

29.(15分)

试题详情

28.(17分)

     Fenton法常用于处理含难降解有机物的工业废水,通常是在调节好pH和浓度的废水中加入所产生的羟基自由基能氧化降解污染物。现运用该方法降解有机污染物,探究有关因素对该降解放映速率的影响。

    (实验设计)控制的初始浓度相同,恒定实验温度在298K或313K(其余实验条件见下表)。设计如下对比实验。

(1)    请完成以下实验设计表(表中不要留空格)。

(数据处理)实验测得的浓度随时间变化的关系如右上图。

(2)    请根据右上图实验①曲线,计算降解反应在50-150内的反应速率;

  

(解释与结论)

(3)    实验①②表明温度升高,降解反应速率增大。但温度过高时反而导致降解反应速率减小,请从Fenton法所使用试剂的角度分析原因:

(4)    实验③得出的结论是:=10时,                 

(思考与交流)

(5)    实验时需在不同时间从反应器中取样,并使所取样品中的反应立即停止下来,根据上图中信息,给出一种迅速停止反应的方法:          

试题详情

27.  (12分)

      某工厂废水中含,其对毒性较大。某研究性学习小组为了变废为宝,将废水处理得到磁性材料,设计了如下实验:

(1)    第1步反应的离子方程式是       

(2)    第2步中用pH实纸测定溶液pH的操作是    

(3)    第2步过滤的到的滤杂中只要成分除,理论上需要加入      g

试题详情

26. (12)

    是一种医药中间体,常用来制备抗凝血药,可通过下列路线合成:

(1)    A 与银氨溶液反应有银镜生成,则A的结构简式是          

(2)    B-C的反应类型是         

(3)    E的结构简式是

(4)    写出F和过量溶液共热时反应的化学方程式          

(5)    下列关于G的说法正确的是

A  能于溴单质反应          B 能与金属钠反应

C  1G最多能和3氢气反应  D  分子式是

试题详情

25.(17分)

W、X、Y、Z是周期表前36号元素中的四种常见元素,其原子系数依次增大。W、Y的氧化物是导致酸雨的主要物质,X的基态原子核外有个原子轨道填充了电子,Z能形成红丝(或砖红色)和黑色的两种氧化物。

(1)W位于元素周期表第_________周期第__________族。W的气态氢化物稳定性比H2O(g)_________(填“强”或“弱”)。

(2)Y的基态原子核外电子排布是__________,Y的第一电离能比X的_________(填“大”或“小”)

(3)Y的最高价氧化物对应水化物的浓溶液与Z的单质反应的化学方程式是

________________________________________________________________________。

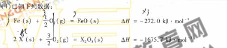
(4)    已知下列数据:

X的单质和FeO反应的热化学方程式是____________________________。

试题详情

24.(20分)

过山车是游乐场中常见的设施。下图是一种过山车的简易模型,它由水平轨道盒和在竖直平面内的三个圆形轨道组成,B、C、D分别是三个圆形轨道的最低点,B、C间距与C、D间距相等,半径=2.0 m、=1.4 m。一个质量为m=1.0 kg的小球(视为质点),从轨道的左侧A点以=12 m/s 的初速度沿轨道向右运动,A、B间距=6.0 m。小球与水平轨道间的动摩擦因数=0.2,圆形轨道式光滑的。假设水平轨道足够长,圆形轨道间不相互重叠。重力加速度g=10 m/,计算结果保留小数点后一位数字。试求

(1)    小球在经过第一个圆形轨道的最高点是,轨道对小球作用力的大小;

(2)    如果小球恰能通过第二个圆形轨道,B、C间距L应是多少;

(3)    在满足(2)的条件下,如果要使小球不脱离轨道,在第三个圆形轨道的设计中,半径应满足的条件;小球最终停留点与起点A的距离。

    

试题详情

23、(16分)

如图所示,匀强电场方向沿x轴的正方向,场强为E。在A(d , 0)点有一个静止的中性微粒,由于内部作用,某一时刻突然分裂成两个质量均为m的带电微粒,其中电荷量为q的微粒1沿y轴方向运动,经过一段时间到达(0,-d)点。不计重力和分裂后两微粒间的作用。试求

(1)分裂时两个微粒各自的速度;

(2)当微粒1到达(0,-d)点时,电场力对微粒1做功德瞬时功率;

(3)当微粒1到达(0,-d)点时,两微粒间的距离。

试题详情

22、(14分)

  在2008年北京残奥会开幕式上,运动员手拉绳索向上攀登,最终点燃了主火炬,体现了残疾运动员坚忍不拔的意志和自强不息的精神。为了探求上升过程中运动员与绳索和吊椅间的作用,可将过程简化。一根不可伸缩的轻绳跨过轻质的定滑轮,一端挂一吊椅,另一端被坐在吊椅上的运动员拉住,如图所示。设运动员的质量为65kg ,吊椅的质量为15kg,不记定滑轮与绳子间的摩擦,重力加速度取g=10m/。当运动员与吊椅一起正以加速度a=1 m/上升时,试求 

(1)    运动员竖直向下拉绳的力;

(2)    运动员对吊椅的压力。

试题详情

21、(6分)探究力对原来静止的物体做的功与物体获得的速度的关系,试验装置如图所示,试验主要过程如下:

(1)设法让橡皮筋对小车做的功分别为W、2W、3W…

(2)分析打点计时器打出的纸带,求出小车的速度、…;

(3)做出W-v草图;

(4)分析W-v图像。如果W-v图像是一条直线,表明W∝v;如果不是直线,可考虑是否存在W∝、W∝ 、W∝  等关系。

以下关于该实验的说法中有一项不正确,它是     

A 本实验设法让橡皮筋对小车做的功分别为W、2W、3W…。所采用的方法是选用同样的橡皮筋,并在每次实验中使橡皮筋拉伸的长度保持一致。当用1条橡皮筋进行实验室,橡皮筋对小车做的功为W,用2条、3条、…..橡皮筋并在一起进行第2次、第3次、….实验时,橡皮筋对小车做的功分别是2W、3W…。

B 小车运动中会受到阻力,补偿的方法,可以使木板适当倾斜。

C 某同学在一次实验中,得到一条记录纸带。纸带上打出的点,两端密、中间疏。出现这种情况的原因,可能是没有使木板倾斜或倾角太小。

D 根据记录纸带上打出的点,求小车获得的速度的方法,是以纸带上第一点到最后一点的距离来进行计算。

试题详情

21.(18分)

I.(6分)用多用电表进行了几次测量,指针分别处于a和b的位置,如图所示。若多用电表的选择开关处于下面表格中所指的档位,a和b的相应读数是多少?请填在表格中。

II.(6分)用右图所示电路,测定一节干电池的电动势和内阻。电池的内阻较小,为了防止在调节滑动变阻器时造成短路,电路中用一个定值其保护作用。除电池、开关和导线外,可供使用的实验器材还有:

(a)电流表(量程0.6A、3A);

(b)电压表(量程3v、15v);

(c)定值电阻(阻值1 、额定功率5w);

(d)定值电阻(阻值10 、额定功率10w);

(e)滑动变阻器(阻值范围0-10 、额定电流2A);

(f)滑动变阻器(阻值范围0-100 、额定电流1A).

那么

(1)    要正确完成实验,电压表的量程应选择_______V,电流表的量程应选择______A;应选择_______ 的定值电阻,R应选择阻值范围是__________ 的滑动变阻器。

(2)    引起该实验系统误差的主要原因是_____________________________

试题详情


同步练习册答案