题目列表(包括答案和解析)

 0  123942  123950  123956  123960  123966  123968  123972  123978  123980  123986  123992  123996  123998  124002  124008  124010  124016  124020  124022  124026  124028  124032  124034  124036  124037  124038  124040  124041  124042  124044  124046  124050  124052  124056  124058  124062  124068  124070  124076  124080  124082  124086  124092  124098  124100  124106  124110  124112  124118  124122  124128  124136  447348 

8.下列各组物质不属于同分异构体的是                    (   )

A.2,2-二甲基丙醇和2-甲基丁醇       B.邻氯甲苯和对氯甲苯

C.2-甲基丁烷和戊烷             D.甲基丙烯酸和甲酸丙酯

试题详情

7.正确掌握好化学用语是学好化学的基础,下列有关表述正确的是    (   )

A.乙烯的结构式:CH2=CH2       B.苯的分子模型:

C.NH4Cl的电子式为:         D.氟原子结构示意图:

试题详情

6.下列有关试验操作的叙述正确的是     (   )

A.实验室常用右图所示的装置制取少量的乙酸乙酯

  B.用50mL酸式滴定管可准确量取25.00mL溶液

  C.用量筒取5.00mL 1.00mol·L-1盐酸于50mL容量瓶中,加水

稀释至刻度,可配制0.100 mol·L-1盐酸

  D.在苯萃取溴水中的溴,分液时有机层从分液漏斗的下端放出

试题详情

5.下列有关现代生物进化理论的基本观点的叙述,不正确的是(  ) 

A.物种是生物进化的基本单位     B.突变和基因重组产生进化的原材料

C.自然选择决定生物进化的方向   D.隔离导致新物种产生

试题详情

4.2009年中国卫生部 “甲型H1N1流感”,纳入传染病防治法规定管理的乙类传染病,并采取相应的预防、控制措施。下列有关叙述正确的是(  )

A.当人体被该病毒侵入后只有细胞免疫起作用

B.甲型H1N1流感病毒的可遗传变异为基因突变和染色体变异

C.甲型H1N1流感病毒的繁殖方式为二分裂

D.甲型H1N1流感病毒的遗传物质的基本组成单位为4种

试题详情

3.科学家通过基因工程的方法,能使大肠杆菌产生人的胰岛素。以下叙述中,错误的是(  )

A.人胰岛素基因可以用人工方法合成

B.DNA连接酶和限制性内切酶都是构建重组质粒必需的工具酶

C.将胰岛素基因导入大肠杆菌细胞时,需用纤维素酶和果胶酶破坏细胞壁

D.目的基因导入受体细胞后不一定能表达

试题详情

2.如图为体液免疫示意图,下列有关叙述正确的是 (  )   

A.①②过程都需要细胞膜上糖蛋白的参与,⑤过程主要发生在内环境中

B.骨髓造血干细胞可分化成B细胞,不能分化成T细胞

C.一个效应B细胞在不同的环境下可以产生多种相应的抗体

D.机体再次受到同种抗原刺激时,因为③过程可迅速完成,因此可在短时间内发生⑤反应,

试题详情

1.下列关于细胞生理过程的描述,正确的是 (  )

A.酵母菌细胞在无氧环境下进行细胞呼吸时产生乳酸和CO2

 B.受精作用的顺利进行与细胞膜上糖蛋白的识别作用有关

C.甲状腺细胞受到促甲状腺激素释放激素的作用后,甲状腺激素的分泌量增加

D.在人体免疫中,T细胞只参与细胞免疫过程

试题详情

(二)选考题:共45分。请考生从给出的3道物理题、3道化学题、2道生物中每科任选一题作答,并用2B铅笔在答题卡上把所选题目的题号涂黑。注意所做题目的题号必须与所涂题目的题号一致,在答题卡选答区域指定位置答题。如果多做,则每学科按所做的第一题计分。

33.[物理--选修3-3](15分)

(1)(5分)以下说法中正确的是

A.熵增加原理说明一切自然过程总是向着分子热运动的无序性减小的方向进行

B.在绝热条件下压缩气体,气体的内能一定增加

C.布朗运动是在显微镜中看到的液体分子的无规则运动

D.水可以浸润玻璃,但是不能浸润石蜡,这个现象表明一种液体是否浸润某种固体与这两种物质的性质都有关系

(2)(10分)一足够高的直立气缸上端开口,用一个厚度不计的活塞封闭了一段高为80cm的气柱,活塞的横截面积为0.01m2,活塞与气缸间的摩擦不计,气缸侧壁通过一个开口与U形管内的气体体积忽略不计,已知右图所示状态时气体的温度为7℃,U形管内水解面的高度差h1 = 5cm,大气压强P0 = 1.0×105Pa保持不变,水银的密度。求:

①活塞的重力

②现在活塞上添加沙粒,同时对气缸内的气体加热,始终保持活塞的高度不变,此过程缓慢进行,当气体的温度升高到37℃时,U形管内水银面的高度差为多少?

34.[物理--选修3-4](15分)

(1)(5分)如图所示,在均匀介质中的一条直线上的两个振源AB相距6m,振动频率相等。时刻AB开始振动,且都只振动一个周期,振幅相等,A的振动图象为(甲),B的为(乙)。若由A向右传播的机械波与由B向左传播的机械波在时恰好相遇,则下列判断正确的是

A.两列波在AB间的传播速度大小均为10m/s

B.两列波的波长都是4m

C.在两列波相遇过程中,中点C为振动加强点

D.时刻B点经过平衡位置且振动方向向下

(2)(10分)如图所示,为某种透明介质的截面图,△AOC为等腰直角三角形,BC为半径的四分之一圆弧,AB与水平屏幕MN垂直并接触于A点。由红光和紫光两种单色光组成的复色光射向圆心O,在AB分界面上的入射角,结果在水平屏幕MN上出现两个亮斑。已知该介质对红光和紫光的折射率分别为。①判断在AMAN两处产生亮斑的颜色;②求两个亮斑间的距离。

35.[物理--选修3-5](15分)

(1)(5分)以下有关近代物理内容的若干叙述正确的是

A.紫外线照射到金属锌板表面时能够发生光电效应,则当增大紫外线的照射强度时,从锌板表面逸出的光电子的最大初动能也随之增大

B.比结合能越大,表示原子核中核子结合得越牢固,原子核越稳定

C.半衰期不但由放射性元素的原子核内部本身的因素决定,还受压强、温度等外界因素的影响

D.根据玻尔理论,氢原子的核外电子由较高能级跃迁到较低能级时,要释放一定频率的光子,同时电子的动能增大,电势能减小

(2)(10分)如图所示是固定在水平地面上的模范作用截面为“”形的光滑长直导轨槽,槽口向上(图为俯视图)。槽内放置一个木质滑块,滑块的左半部是半径为R的半圆柱形光滑凹槽,木质滑块的宽度为2R,比“”形槽的内侧宽度略小。现有一半径为(rR)的金属小球以水平初速度v0冲向滑块,从滑块的一侧半圆形槽口边缘进入。已知金属小球的质量为m,木质滑块的质量为5m,整个运动过程中无机械能损失。求:

①当金属小球滑离木质滑块时,金属小球和木质滑块的速度各是多大;

②当金属小球木质滑块上的半圆柱形槽的最右端A点时,金属小球的速度大小。

36.[化学--选修化学与技术](15分)

磷化铝、磷化锌、磷化钙是我国目前最常见的熏蒸杀虫剂,都能与水或酸反应产生有毒气体膦(PH3),PH3具有较强的还原性,能在空气中自然。我国粮食卫生标准(GB2175-2005)规定,粮食中磷化物(以PH3计)含量≤0.05mg/kg。

通过下列方法对粮食中残留磷化物含量进行测定。

[实验课题]粮食中残留磷化物的定量测定

[实验原理]

      

[操作流程]安装蒸馏吸收装置→PH3的产生与吸收→转移褪色→亚硫酸标准溶液滴定

[实验装置]

C中盛有200g原粮;D、E、F各盛装1.00mL浓度为1.00×10-3mol/L的KMnO4的溶液(H2SO4酸化)

(1)以磷化铝为例,写出磷化物与水反应的化学方程式________________________。

(2)检查上述装置气密性的方法是________________________。

(3)实验过程中,用抽气泵抽气的目的是________________________。

(4)A中盛装KmnO4溶液是为除去空气中可能含有的________________________;B中盛装碱性焦性没食子酸溶液的作用是________________________;如去除B装置,则实验中测得的PH3含量将________________________。

(5)收集D、E、F所得吸收液,并洗涤D、E、F,将吸收液、洗涤液一并置于锥形瓶中,加水稀释至25mL,用浓度为5×10-4mol/L Na2SO3标准溶液滴定剩余的KMnO4溶液,消耗Na2SO3标准溶液11.00mL,则该原粮中磷化物(以PH3计)的含量为_______________mg/kg。

37.[化学--选修物质结构与性质](15分)下表为元素周期表的一部分。请回答下列问题:

(1)上述元素中,属于s区的是________________________(填元素符号)。

(2)写出元素⑩的基态原子的电子排布式__________________________________________。

(3)元素第一电离能为⑤________________________⑨(填“大于”或“小于”)。

(4)元素③气态氢化物的中心原子有________________________对弧对电子,其VSEPR模型为________________________;中心原子的杂化类型为________________________;该分子为________________________分子(填“极性”或“非极性”)。向硫酸铜溶液中逐滴加入其水溶液,可观察到的现象为________________________。

(5)元素⑦的钠盐晶胞结构如图所示,每个Na+周围与之距离最近的Na+的个数为________________________。若设该晶胞的棱长为a cm,阿伏加德罗常数的值为NA,则该钠盐的密度为________________________。

38.[化学--选修有机化学基础](15分)A~J有如下转化关系(其中部分产物已略去)。已知E分子中含有一个连有4个不同原子或原子团的碳原子;C分子核磁共振氢谱中共有4个吸收峰,其峰面积比为4:3:2:1;1mol F与足量的新制Cu(OH)2在加热条件下充分反应可生成2mol红色沉淀。分析并回答问题:

(1)A中含氧官能团的名称为________________________。

(2)C的结构简式为________________________。

(3)I的名称为________________________。

(4)H→I的反应类型为________________________。

(5)写出E→H反应的化学方程式________________________。

   写出E→J反应的化学方程式________________________。

39.[生物--选1生物技术实践](15分)

现在大力提倡无纸化办公,但是仍然不可避免的每年要产生大量的废纸,其主要成分是木质纤维,人类正努力将其转化为一种新的资源--乙醇。右图是工业上利用微生物由纤维素生产乙醇的基本工作流程,请回答相关问题:

(1)自然界中①环节需要的微生物大多分布在________________________的环境中。将从土壤中获得的微生物培养在以________________________为碳源、并加入________________________的培养基上筛选周围有________________________的菌落。

(2)如上所述的筛选中获得了三个菌落,对它们分别培养,并完成环节②,且三种等量酶液中酶蛋白浓度相同,则你认为三种酶液的活性________________________(一定相同、不一定相同、一定不同),可以通过________________________进行定量测定。

(3)根据测定结果,①环节常选择木霉,则②中获得的酶是________________________酶。该酶至少包括________________________三个组分。

(4)生产中可以满足④环节的常见菌种是________________________,为了确保获得产物乙醇,⑤环节要注意________________________,④过程要注意避免________________________。

(5)该技术虽然有广阔的前景,但存在酶的成本高等问题,为了降低成本主要从以下几方面入用改进该过程。首先要通过________________________等技术手段对产酶微生物改造,提高酶的产量。其次,可利用________________________等技术使酶能够重复利用。

40.[生物--选修3现代生物科技专题](15分)

目前,科学家正致力于应用生物技术进行一些疾病的治疗,如器官移植、基因治疗等。请回答下列问题:

(1)人体器官移植面临的主要问题有________________________和免疫排斥,目前临床通过________________________通过抑制________________________的增殖来提高器官移杆的成活率。

(2)EK细胞来源于囊胚期的________________________细胞或胎儿的原始性腺,也可以通过________________________技术得到重组细胞后再进行相应处理获得。通过对患者的EK细胞进行________________________,可培育出人造组织器官,进而解决免疫排斥问题。

(3)人们发现小型猪的器官可用来替代人体器官进行移植,但小型猪器官表面的某些抗原决定簇仍可引起免疫排斥。目前,科学正试图利用基因工程对小型猪的器官进行改造,在改造中导入小型猪基因组中的一些调节因子属于基因工程中的________________________,作用是________________________。

(4)基因工程技术还可用于基因治疗。在进行体外基因治疗时,最有效的转化方法是________________________;在进行体内基因治疗时,采用的载体应该是________________________。

试题详情

(一)必考题(11题,共129分)

22.(4分)在探究摩擦力的实验中,用传感器(其余电路部分未画)水平拉一放在水平桌面上的小木块,如图所示,小木块的运动状态与计算机的读数如下表所示(每次实验时,木块与桌面的接触面相同),则通过分析下表可知以下判断中正确的是

实验次数
小木块的运动状态
计算机读数(N)
1
静止
2.2
2
静止
3.4
3
直线加速
3.8
4
直线匀速
3.2
5
直线减速
1.9
6
静止
1.2

A.木块受到的最大静摩擦力为3.8N

B.木块受到的最大静摩擦力可能为3.4N

C.在这六次实验中,木块受到的摩擦力大小有三次是相同的

D.在这六次实验中,木块受到的摩擦力大小各不相同

23.(11分)有一个小灯泡上标有“4V,2W”的字样,现在要用伏安法测量这个小灯泡的伏安特性曲线。现有下列器材供选用:

A.电压表V1(0~5V,内阻约10kΩ)               B.电压表V2(0~10V,内阻约20kΩ)

C.电流表A1(0~0.3A,内阻约1Ω)               D.电流表A2(0~0.6A,内阻约0.4Ω)

E.滑动变阻器R1(0~10Ω,2A)                   F.滑动变阻器R2(0~100Ω,0.2A)

G.学生电源(直流6V)、开关及导线

(1)(3分)为了调节方便,测量尽可能准确,实验中应选用电压表_________,电流表_________,滑动变阻器__________________。(填器材的前方选项符号,如A,B)

(2)(3分)为使实验误差尽量减小,要求从零开始多取几组数据;请在下面的方框中画出实验电路图。

(3)(3分)某同学通过实验得到的数据画出了该小灯泡的伏安特性曲线,如上图所示,若用电动势为4.0V、内阻为8Ω的电源直接给该小灯泡供电,则该小灯泡的实际功率是_________W。

(4)(2分)P为上图中图线上的一点,PN为图线上P点的切线、PQU轴的垂线,PMI轴的垂线,下列说法中正确的是

A.随着所加电压的增大,小灯泡的电阻增大          

B.随着所加电压的增大,小灯泡的电阻减小

C.对应P点,小灯泡的电阻约为5.33Ω

D.对应P点,小灯泡的电阻约为24.0Ω

24.(14分)2009年冬季东北地区由于雪量很大,路面状况给行车带来了困难。雪天行车,由于不可测因素太多,开车时慢行可以给自己留出更多的时间去判断,从而做出正确操作,又由于制动距离会随着车速提高而加大,所以控制车速和与前车保持多长的安全行车距离。如每小时30公里的速度,就要保持30米长的距离。现调查,交通部门要求某一平直路段冰雪天气的安全行车速度减为正常路面的三分之二,而安全行车距离则要求为正常状态的二分之三,若制动状态时车轮呈抱死状态,未发生侧滑和侧移,路面处处动摩擦因数相同,试计算冰雪路面与正常路面的动摩擦因数之比。

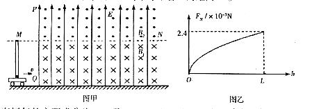
25.(18分)如图甲所示,水平地面上有一辆小车,小车上固定有竖直光滑绝缘管,管长为L0管内底部有一质量m = 0.2g,电荷量q = +8×10-5C的小球,小球的直径比管的内径略小。在管口所在水平面MN的下方存在着垂直纸面向里、磁感应强度B1 = 15T的匀强磁场,MN面上方存在着垂直纸面向外、磁感应强度B2 = 15T的匀强磁场,MN上下的整个区域还存在着竖直向上、场强E = 25V/m的匀强电场的。现让小车始终保持v = 2m/s的速度匀速向右运动,以带电小球刚经过场的边界PQ为计时的起点,测得小球对管侧壁的弹力FN随小球到管底的高度h的变化关系如图乙所示。g取10m/s2,不计空气阻力。求:

(1)小球刚进入磁场B1时的加速度大小a

(2)绝缘管的长度L

(3)小球离开管后每次经过水平面MN时小球距管口的距离△x

26.(15分)汽车尾气的主要成分为CO2及CO、NOX(NO和NO2)的混合物,其中NO的体积分数占95%以上)等。治理方法之一是在汽车排气管上加装“催化转换器”,利用催化剂使CO和NOX发生反应大部分转化为CO2和N2。某小组在实验室利用下图所示装置模拟汽车尾气处理中CO和NOX的反应并测量反应后混合气体的组成。(已知)

试回答下列问题:

(1)仪器的连接顺序为

(2)E装置的作用是___________________、___________________。

(3)写出D中的NOX与CO反应的化学方程式______________________________________。

(4)若B容器中生成的NOX为NO,写出该反应的化学方程式,并标出电子转移的方向和数目_________________________________________________________。

(5)若通入的NOX为NO,C装置增重8.8g,收集到的气体在标准状况下为4.48L(其相对分子质量为28.4)。则收集到的气体中NO的物质的量为___________________。

(6)选择高效催化剂,将汽车尾气转化为无毒气体,便彻底解决了汽车尾气对环境的影响,这种说法是否正确并阐述理由:_______________________________________________。

27.(14分)A、B、C、D、E是位于短周期的主族元素,其中A、B为金属元素。已知:①热稳定性:HmD>HmC;②Cm、E(m1)-具有相同的电子层结构;③B与E在同一周期,在该周期中,E的原子半径最小,B的离子半径最小;④A、B所形成的单核离子具有相同的电子层结构,B的最高价氧化物对应的水化物与A、E的最高价氧化物对应的水化物都能反应。依据上述信息用相应的化学用语回答下列问题:

(1)HmD的电子式:___________________。

(2)Cm、E(m1)-的还原性强弱为___________>___________,能证明其还原性强弱的离子方程式为_________________________________________________________。

(3)写出B的最高价氧化物对应的水化物和A的最高价氧化物对应的水化物反应的离子方程式_________________________________________________________。

(4)常温下,将等物质的量浓度的HmC溶液和A的最高价氧化物对应的水化物溶液等体积混合,所得溶液显碱性,溶液中离子浓度由大到小的顺序为___________________。

(5)在B、C、E单质中,符合下列转化关系的是___________________。

28.(14分)pC类似pH,是指极稀溶液中溶质物质的量浓度的常用对数负值。如某溶液溶质的浓度为1×10-3mol/L,则溶液中该溶质的pC = -lg103 = 3。已知H2CO3溶液中存在下列平衡:

    

右图为在加入强酸或强碱溶液后,平衡时溶液中三种成分的pC-pH图。请回答下列问题:

(1)在pH = 9时,溶液中浓度最大的含碳元素离子为_______________。

(2)pH<4时,溶液中的pC值总是约等于3的原因是_______________。

(3)一定浓度的NaHCO3和NaCO3混合溶液是一种“缓冲溶液”,在这种溶液中加入少量的强酸或强碱,溶液的pH变化都不大,请用离子方程式表示加入少量强碱后其pH变化不大的原因______________________________。

(4)已知M2CO3为难溶物,则其KSP的表达式为_______________;现欲将某溶液中的M+以碳酸盐(KSP = 1×1012)的形式沉淀完全,则最后溶液中的的pC最大值为_______________(溶液中的离子浓度小于1×105mol/L时,沉定完全)。

(5)若某溶液中含3mol Na2CO3,滴入一定量的稀盐酸,恰好使溶液中Cl的物质的量之比为2:1,则滴入的盐酸中HCl的物质的量等于_______________mol。

29.(12分)某研究性学习小组设计实验装置如右图,其目的是探究光照强度对光合作用强度的影响。

实验材料和用具:100mL量筒、50W、100W、200W和400W的台灯、CO2缓冲液(既可以提供CO2,也可以吸收CO2)、黑藻等。

(1)实验步骤:

①准备如图所示装置4套,分别编号为甲、乙、丙、丁;

②_____________________________________________;

③各瓶中加满_______________,然后关闭夹子_______________,同时,打开夹子_______________;

④将4套装置放入暗室中24小时后,______________________________;

⑤30min后停止光照,观察并记录_____________________________________________。

(2)实验分析:

①本实验中甲、乙、丙、丁都是实验组,该实验设计_______________(“遵循”或“不遵循”)对照实验原则。

②若想探究光的成分对黑藻光合作用强度的影响,则仅需要把本实验的步骤_______________(填步骤序号)进行改动,具体改动为:______________________________。

30.(7分)生产实践中总结出“根深叶茂”和“育秧先育根”的宝贵经验,即必须根生长的好,地上部分才能很好地生长。请回答:

(1)根是植株细胞分裂素合成的中心,细胞分裂素合成后向上运输,能够抑制侧根向周围生长,促进主根向更深的土层生长;蔬菜育苗移栽时,切除主根,可促进侧根生长。以上现象说明根具有_______________现象。

(2)在用IAA处理插条生根时,如果IAA的浓度较低,适合采用_______________法处理插条,此时的室内环境最好的遮荫且_______________,以保持IAA溶液的较低浓度。

(3)IAA除具有促进生根的功能,还具有防止脱落的功能。有些研究结果如右图所示。据图可知,IAA对脱落的效应与______________________________有关。

(4)脱落的生物化学过程主要是水解离层的细胞壁和中胶层,使细胞分离。与脱落有关的酶类较多,其中______________________________是较为关键的。

31.(14分)某植物花的颜色由两对非等位基因A(a)和B(b)调控。A基因控制色素合成(A:出现色素,AA和Aa的效应相同),B为修饰基因,淡化颜色的深度(B:修饰效应出现,BB和Bb的效应不同)。现有亲代P1(aaBB、白色)和P2(Aabb、红色),杂交实验如右图:

(1)若对F1植株进行单倍体育种,那么育出的植株的花色的表现型及比例是_____________________________________________。

(2)F2中白花植株的基因型有_______________种,其纯种个体在F2中大约占_______________。

(3)F2红花植株中杂合体出现的几率是_______________。若对杂合的红花植株幼苗用秋水佩素处理,那么形成的植株为_______________倍体,该植株产生配子的基因型及比例是_______________。

(4)F2粉花植株中A的基因频率是_______________。

32.(6分)在生态学中,生物和群的年龄结构有两个层次,即个体的年龄组成和组成个体的构件年龄。组成个体构件的年龄是单体生物所没有的。例如一年生苔草的分枝可以月龄画成椎体,下图是施肥对某种苔草的无性系构件月龄结构的影响。请回答:

(1)与对照组相比,施肥使苔草_______________的分枝成为优势。此现象说明_______________。

(2)苔草的幼枝具有更大的营养价值,它将吸引更多的植食品性动物,如五趾跳鼠。若在理想状态下,那么对苔草施肥后,短时间内五趾跳鼠种群数量的增长将为_______________型增长,其年龄组成类型最接近于_______________。

(3)五趾跳鼠是危害三北地区的主要害鼠之一,从环境容纳量的角度思考,提出两种有效控制五趾跳鼠数量的具体措施:①_______________;②_______________。

试题详情


同步练习册答案