题目列表(包括答案和解析)

 0  124408  124416  124422  124426  124432  124434  124438  124444  124446  124452  124458  124462  124464  124468  124474  124476  124482  124486  124488  124492  124494  124498  124500  124502  124503  124504  124506  124507  124508  124510  124512  124516  124518  124522  124524  124528  124534  124536  124542  124546  124548  124552  124558  124564  124566  124572  124576  124578  124584  124588  124594  124602  447348 

21. 如图所示,把总电阻为2R的均匀电阻丝焊接成一半径为a的圆环,水平固定在竖直向下的磁感应强度为B的匀强磁场中,一长度为2a、电阻等于R、粗细均匀的金属棒MN放在圆环上,与圆环始终保持良好的接触.当金属棒以恒定速度v向右移动,经过圆心时

A.金属棒电流方向由N→M

B. 金属棒两端的电压U=Bav

C.圆环所受安培力为零

D.金属棒上消耗的功率

试题详情

20. 图中的实线表示电场线,虚线表示只受电场力作用的带正电粒子的运动轨迹,粒子先经过M点,再经过N点,可以判定

A.M点的电势高于N点的电势

B.M点的场强大于N点的场强

C.粒子在M点的速度大于在N点的速度

D.粒子在N点的电势能大于在M点的电势能

试题详情

19. 面积为S的两个完全相同的单匝金属线圈分别放置在如图甲、乙所示的磁场中.甲图中是磁感应强度为B0的匀强磁场,线圈在磁场中以周期T绕OO’轴作匀速转动;乙图中的磁场的变化规律为B=B0cos2πt/T,从图示时刻(t=0时刻)起计时,则

A.两线圈中感应电动势达到最大值的时刻不同

B.两线圈中的磁通量变化规律均为φ=B0Scos2πt/T 

C.两线圈中产生的交流电流的有效值不同

D.从此刻起,T/4时间内流过线圈截面的电量相同

试题详情

18. 如图“嫦娥一号”卫星在地球轨道近地点M经历三次加速变轨后,由地月转移轨道进入月球轨道,然后又在月球轨道近月点N经历三次近月制动,最后进入工作轨道,P是转移轨道上的一点,直线ABP点且和两边轨道相切。下列有关“嫦娥一号”卫星的说法正确的是

A.卫星在地球轨道上变轨后机械能增大

B.卫星在月球轨道上变轨后机械能增大

C.卫星在M点经第三次加速后的速度大于

  D.卫星经过P点时加速度为零

试题详情

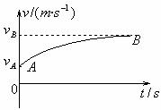
17.在温哥华冬奥会上我国冰上运动健儿表现出色,取得了一个又一个骄人的成绩。滑雪运动员由斜坡高速向下滑行,其速度一时间图象如图所示,则由图象中AB段曲线可知,运动员在此过程中 

A.做曲线运动       

B.机械能守恒

C.所受合力不断减小   D.

试题详情

16.如图所示,位于水平桌面上的物块A质量为2m,由跨过定滑轮的轻绳与质量为m的物块B相连,从滑轮到A和到B的两段绳都是水平的,已知B与A之间的动摩擦因数是μ,A与桌面之间的动摩擦因数是2μ,滑轮的质量、滑轮轴上的摩擦都不计.若用一水平向右的力F拉A使它做匀速运动,则F的大小为

A.4μmg       

B.5μmg   

C.6μmg       

D.8μmg  

试题详情

15.pH11的X、Y两种碱溶液各10mL,分别稀释至1000mL,此

时pH(Y)>pH(X),下列说法中正确的是:

A .若X、Y两种碱溶液都是一元碱,则X、Y两种溶液的物质的量浓度一定相等

B.稀释后X溶液中水电离的c(H+)比Y溶液中水电离的c(H+)小

C.若稀释后两溶液的9<pH<11,则X、Y都是弱碱

D.完全中和X、Y两溶液时,消耗同浓度盐酸的体积V(X)>V(Y)

试题详情

14.有一反应:2A+B2C,其中A、B、C均为气体,下图中的曲线是该反应在不同温度下的平衡曲线,x轴表示温度,y轴表示B的转化率,图中有a、b、c三点,如图所示, 则下列描述正确的是:

A.该反应是放热反应

B.b点时混合气体的平均摩尔质量不再变化

C.T1温度下a点表示若想达到平衡,可以采取增大压强的方法

D.c点可表示v(正)<v(逆)

试题详情

13.下列叙述正确的是:

A.浓硫酸、浓硝酸在加热条件下都能将木炭氧化为二氧化碳

B.BaCO3能溶于盐酸是因为H+破坏了BaCO3的沉淀溶解平衡,使其Ksp增大

C.铁粉与足量稀硝酸反应时,氧化剂与还原剂的物质的量之比为2:3

D.SO2具有氧化性,因而可以使品红溶液褪色

试题详情

12.下列关于有机物的说法中,错误的是:

A.木材、棉花的主要成分是纤维素,羊毛、蚕丝的主要成分是蛋白质

B.乙烯、苯、乙醇在一定条件下都既能发生取代反应又能发生加成反应

C.油脂在碱的作用下可发生水解,工业上利用该反应生产肥皂

D.生活中食用的食醋、淀粉、植物油、动物蛋白等都属于混合物

试题详情


同步练习册答案