题目列表(包括答案和解析)

 0  124444  124452  124458  124462  124468  124470  124474  124480  124482  124488  124494  124498  124500  124504  124510  124512  124518  124522  124524  124528  124530  124534  124536  124538  124539  124540  124542  124543  124544  124546  124548  124552  124554  124558  124560  124564  124570  124572  124578  124582  124584  124588  124594  124600  124602  124608  124612  124614  124620  124624  124630  124638  447348 

17.(6分)(1)将NaBiO3固体(黄色微溶)加入到MnSO4和H2SO4的混合溶液里加热,固体溶解变为澄清溶液,发生如下反应:

NaBiO3  +  MnSO4  +  H2SO4  -  Na2SO4  +  Bi2(SO4)3  +  NaMnO4  +  H2O

  ①上述反应中还原产物是       ,若有2mol氧化剂在该反应中被还原,则生成的MnO4被还原为Mn2+时,能将        molHCl氧化成Cl2

  ② 写出NaBiO3固体溶于浓盐酸产生黄绿色气体的化学反应方程式       

(2)用H2O2和H2SO4的混合溶液可溶出印刷电路板金属粉末中的铜。已知:

Cu(S)+2H+(aq)=== Cu2+(aq)+H2(g) ΔH=64.39kJ·mol-1

2H2O2(L)===2H2O(L)+O2(g)  ΔH=-196.46kJ·mol-1

H2(g)+ O2(g)===H2O(L)  ΔH=-285.84kJ·mol-1

在H2SO4溶液中Cu与H2O2反应生成Cu2+和H2O的热化学方程式为         

试题详情

16.今有一混合物的水溶液,只可能含有以下离子中的若干种:K+、NH4+、Mg2+、Ba2+

,现取二等份溶液进行如下实验:(1)第一份加AgNO3溶液有沉淀产生;(2)第二份加足量NaOH溶液加热后,得澄清溶液,并收集到气体0.03mol。上述澄清溶液冷却后,加足量BaC12溶液,得干燥沉淀6.27g,经足量盐酸洗涤、干燥后,沉淀质量为2.33g。根据上述实验,以下推测正确的是(   )

  ①一定存在K+        ②一定存在Ba2+      ③可能存在   ④一定存在Mg2+

⑤一定不存在       ⑥每份溶液中含0.01 mol

A. ①③⑤           B. ①③④⑤         C. ③⑥         D.①③⑥

第Ⅱ卷(非选择题,共52分)

试题详情

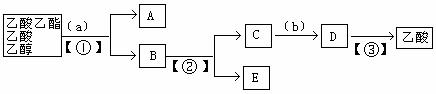
15.以下是分离乙酸乙酯、乙酸、乙醇的混合物的流程图,图中圆括号内填入适当的试剂,方括号内填入适当的分离方法,方框内是有关物质的名称。下列说法正确的是(   )

 

  A.a为NaOH溶液,①为蒸馏          B.②、 ③均为蒸馏,①为分液

C.②为分液,C中含有醋酸钠          D.b可以是硫酸,也可以是盐酸

试题详情

14.已知298K时, N2(g)+3H2(g)2 NH3(g);△H=-92.4kJ/mol, 在相同条件下,向密闭容器中加入1molN2和3molH2,达到平衡时放出的热量为Q1,向另一容积相同的密闭容器中通入0.95molN2、2.85molH2和0.1molNH3,达到平衡时放出的热量为Q2,则下列关系式正确的是

A. Q1 = Q2 = 92.4kJ      B.Q2 < Q1 = 92.4kJ 

C. Q2< Q1< 92.4kJ    D. Q2 = Q1 < 92.4kJ

试题详情

13.燃料电池不是把还原剂、氧化剂物质全部贮藏在电池内,而是在工作时,不断从外界输入,同时将电极反应产物不断排出电池。下面有4种燃料电池的工作原理示意图,其中正极的反应产物为水的是

 

A.固体氧化物燃料电池   B.质子交换膜燃料电池   C.熔融盐燃料电池   D.碱性燃料电池

试题详情

12.“对氨基苯甲酸丁酯”是防晒霜中能吸收紫外线的防晒剂。下列关于“对氨基苯甲酸丁酯”的说法正确的是

    A.它的分子式是C11H15NO2

    B.从有机物分类看,它可属于“氨基酸类”、“酯类”、“芳香烃类”

    C.它能与盐酸反应,但不能与苛性钠溶液反应

    D.甲酸丁酯基(-COOC4H9)只有三种不同结构

试题详情

11.把晶体丙氨酸溶于水,加入NaOH使溶液呈现强碱性,则下列四种微粒中,存在最多的是

A、      B、     C.       D.

试题详情

10.设NA为阿伏加德罗常数的值,下列说法正确的是(  )

   A.1mol H2O2中含极性共价键数为NA,含非极性共价键数为2NA

   B.1mol固体Na218O2与足量CO2反应后,固体质量增重28g 

   C.S2和S8的混合物共6.4g,其中所含硫原子数为0.2NA

     D.60gSiO2中含Si-O键的个数为2 NA

试题详情

9.下列各项实验操作正确的是

A.使C2H5Br和NaOH溶液混合后水解,取上层清液,滴加AgNO3溶液检验溴元素

B.为增强高锰酸钾溶液的氧化性,可用盐酸将高锰酸钾溶液酸化

C.将苯与溴水混合后,再加铁粉,即可制得溴苯

D.在测定盐酸和氢氧化钠溶液反应的中和热时,氢氧化钠溶液应过量

试题详情

8.下列离子方程式书写正确的是

A.溴乙烷与6mol/L的氢氧化钠水溶液共热:

  C2H5Br+OHCH2=CH2↑+Br+H2O

B.等物质的量浓度、等体积的Ca(HCO3)2溶液与氢氧化钠溶液相混合:

  Ca2++2HCO3+2OH CaCO3↓+CO32+2H2O

C.在含有等物质的量的Fe(NO3)2和KI组成的混合溶液中滴入1~2滴盐酸:

  3Fe2++4H++NO33Fe3++NO↑+2H2O                               

D.在H2O2中加入酸性高锰酸钾溶液:2MnO4+6H++5H2O22Mn2++5O2↑+8H2O

试题详情


同步练习册答案