题目列表(包括答案和解析)

 0  159418  159426  159432  159436  159442  159444  159448  159454  159456  159462  159468  159472  159474  159478  159484  159486  159492  159496  159498  159502  159504  159508  159510  159512  159513  159514  159516  159517  159518  159520  159522  159526  159528  159532  159534  159538  159544  159546  159552  159556  159558  159562  159568  159574  159576  159582  159586  159588  159594  159598  159604  159612  447348 

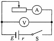
18.如图所示的电路中,电源的电动势和内阻分别为E和r,当闭合开关S,向左移动滑动变阻器的滑片时,下列说法正确的是(   )

A.电流表的示数变大,电压表的示数变大

B  电流表的示数变大,电压表的示数变小

C  电流表的示数变小,电压表的示数变小

D  电流表的示数变小,电压表的示数变大

试题详情

17. 经过精确校准的电压表V1和V2,分别用来测定如图所示电路中R两端a、b间的电压,读数依次为12.7V和12.3V,则   (   )

A.a、b间的实际电压应大于12.7V  

B、a、b间的实际电压应小于12.3V

C、电压表V1的内阻大于V2的内阻  

D、电压表V1的内阻小于V2的内阻

试题详情

16. 图所示的是伏安法测电阻的部分电路,开关先后接通a和b时,观察电压表和电流表示数的变化,那么(   )

A.若电压表示数有显著变化,测量R的值时,S应接a

B.若电压表示数有显著变化,测量R的值时,S应接b

C.若电流表示数有显著变化,测量R的值时,S应接a

D.若电流表示数有显著变化,测量R的值时,S应接b

试题详情

15. 许多人造卫星都用太阳能电池供电,太阳电池由许多片电池板组成。当太阳光照射某电池板时,该电池板的开路电压是600mV,短路电流是30mA,那么,这块电池板的内电阻是(   )

A.10Ω     B.20Ω     C.40Ω     D.60Ω

试题详情

14.如图所示电路中,电动势为E,内阻为r的电源与一滑动变阻器构成闭合电路,当滑动触片移动时,滑动变阻器两端电压和电路中电流的关系图象如下图中的(   )

试题详情

13. 如图所示电路中.A、B两灯均正常发光,R为一滑动变阻器,P为滑动片,若将滑动片向下滑动,则(    )

A.A灯变亮         B.B灯变亮

C.R1上消耗功率变大    D.总电流变小

试题详情

12.  一电源(电动势为E,内阻为r),当它和一标有“6V3W”的小灯泡构成闭合回路时,小灯泡恰好正常发光.如果该电源与一标有“6V6W”的小灯泡构成一闭合回路,该灯泡(     )

A.正常发光      B.比正常发光暗

C.比正常发光亮    D.因不知电源内阻的大小,故无法确定

试题详情

11.  如图所示电路中,电源的内电阻不能忽略.已知定值电阻R1=10Ω,R2=8Ω.当开关S接到位置1时,电压表V的示数为2V;当开关S接到位置2时,电压表V的示数可能为(   )

A.2.2V   B.1.9V    C.1.6V     D.1.3V

试题详情

10.  把两个相同的电灯分别接在图中甲、乙两个电路里,调节滑动变阻器,使两灯都正常发光,两电路中消耗的总功率分别为,可以断定(   )

A.      B.      C.=       D.无法确定

试题详情

9. 有一只灯泡的灯丝断了,通过转动灯泡灯丝接通,再接入电源后,所发生的现象及其原因是(     )

A.灯丝电阻变小,通过它的电流变大,根据P=I2R,电灯变亮

B.灯丝电阻变大,通过它的电流变小,根据P=I2R,电灯变暗

C.灯丝电阻变小,它两端的电压不变,根据,电灯变亮

D.灯丝电阻变大,它两端的电压不变,根据,电灯变暗

试题详情


同步练习册答案