题目列表(包括答案和解析)

 0  161935  161943  161949  161953  161959  161961  161965  161971  161973  161979  161985  161989  161991  161995  162001  162003  162009  162013  162015  162019  162021  162025  162027  162029  162030  162031  162033  162034  162035  162037  162039  162043  162045  162049  162051  162055  162061  162063  162069  162073  162075  162079  162085  162091  162093  162099  162103  162105  162111  162115  162121  162129  447348 

13、如图4所示,在曲柄A上悬挂一个弹簧振子,如果转动摇把C可带动曲轴BAD,用手往下拉振子,再放手使弹簧振子上下振动,测得振子在10s内完成20次全振动,然后匀速转动摇把,当转速为_______r/min,弹簧振子振动最剧烈,稳定后的振动周期为________s。

图4

试题详情

12、A、B二单摆,当A振动20次,B振动30次,已知A摆摆长比B摆长40cm,则A、B二摆摆长分别为________cm与________cm。

试题详情

11、质点做简谐运动的周期为0.4s,振幅为0.1m,从质点通过平衡位置开始计时,则经5s,质点通过的路程等于________m,位移为_________m。

试题详情

10、一弹簧振子做简谐运动,周期为T,以下说法正确的是       (  )

    A.若t时刻和时刻振子运动位移的大小相等、方向相同,则一定等于周期(T)的整数倍

    B.若t时刻和时刻振子运动速度的大小相等、方向相反,则一定等于半周期()的整数倍

    C.若,则在t时刻和时刻振子运动的加速度一定相等

    D.若,则在t时刻和时刻弹簧的长度一定相等

试题详情

9、甲、乙两个单摆, 摆球相同, 摆长分别为L1和L2 将其悬挂起来, 等它们平衡时, 两个摆球的高度相同, 而且正好相切(相互之间无挤压)。 现将乙摆球稍微拉起, 然后释放。两球正碰时没有机械能损失, 不计碰撞所经历的时间, 它们连续相撞的时间间隔可能是          (  )

 A.   B.   C.   D.

试题详情

8、在一根张紧的绳上挂着四个单摆,甲丙摆长相等,当甲摆摆动时    (  )

图3

   A.乙摆与甲摆周期相同

   B.丁摆频率最小

   C.乙摆振幅最大

   D.丙摆振幅最大

试题详情

7、两个弹簧振子,甲的固有频率是100Hz,乙的固有频率是400Hz,若它们均在频率是300Hz的驱动力作用下做受迫振动,则                (  )

 A.甲的振幅较大,振动频率是100Hz

 B.乙的振幅较大,振动频率是300Hz

 C.甲的振幅较大,振动频率是300Hz

 D.乙的振幅较大,振动频率是400Hz

试题详情

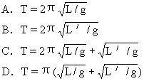
6、一绳长为L的单摆,在平衡位置正上方(L-L′)的P处有一个钉子,如图2所示,这个摆的周期是                           (  )

图2

 

试题详情

5、一质点作简谐运动,其位移x与时间t关系曲线如图1所示,由图1可知(  )

 A.质点振动的频率是4Hz

 B.质点振动的振幅是2cm

 C.在t=3s时,质点的速度为最大

 D.在t=4s时,质点所受的合外力为零

试题详情

4、振动着的单摆摆球,通过平衡位置时,它受到的回复力         (  )

 A.指向地面   B.指向悬点

 C.数值为零   D.垂直摆线,指向运动方向

试题详情


同步练习册答案