题目列表(包括答案和解析)

 0  161941  161949  161955  161959  161965  161967  161971  161977  161979  161985  161991  161995  161997  162001  162007  162009  162015  162019  162021  162025  162027  162031  162033  162035  162036  162037  162039  162040  162041  162043  162045  162049  162051  162055  162057  162061  162067  162069  162075  162079  162081  162085  162091  162097  162099  162105  162109  162111  162117  162121  162127  162135  447348 

7.一单摆的摆长为40cm,摆球在t=0时刻正从平衡位置向右运动,若g取10 m/s2,则在1s时摆球的运动情况是 [ ]

 A.正向左做减速运动,加速度正在增大

 B.正向左做加速运动,加速度正在减小

 C.正向右做减速运动,加速度正在增大

 D.正向右做加速运动,加速度正在减小

试题详情

6.用空心铁球内部装满水做摆球,若球正下方有一小孔,水不断从孔中流出,从球内装满水到水流完为止的过程中,其振动周期的大小是 [ ]

 A.不变    B.变大

 C.先变大后变小回到原值   D.先变小后变大回到原值

试题详情

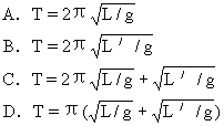
5.一绳长为L的单摆,在平衡位置正上方(L-L′)的P处有一个钉子,如图1所示,这个摆的周期是 [ ] 

   

试题详情

4.下列单摆的周期相对于地面上的固有周期变大的是 [ ]

 A.加速向上的电梯中的单摆

 B.在匀速水平方向前进的列车中的单摆

 C.减速上升的电梯中的单摆

 D.在匀速向上运动的电梯中的单摆

试题详情

3.一物体在某行星表面受到的万有引力是它在地球表面受到的万有引力的1/4.在地球上走得很准的摆钟搬到此行星上后,此钟分针一整圈所经历的时间实际上是 [ ]

 

试题详情

2.对于秒摆下述说法正确的是 [ ]

 A.摆长缩短为原来的四分之一时,频率是1Hz

 B.摆球质量减小到原来的四分之一时,周期是4s

 C.振幅减为原来的四分之一时,周期是2s

 D.如果重力加速度减为原来的四分之一时,频率为0.25Hz

试题详情

1.振动着的单摆摆球,通过平衡位置时,它受到的回复力 [ ]

 A.指向地面 B.指向悬点

 C.数值为零 D.垂直摆线,指向运动方向

试题详情

(四)课堂练习

1.关于质点做匀速圆周运动的下列说法中,错误的是

A.由a=可知,ar成反比        B.由a=ω2r可知,ar成正比

C.由v=ωr可知,ωr成反比       D.由ω=2πn可知,ωn成反比

2.如图3所示的两轮以皮带传动,没有打滑,ABC三点的位置关系如图,若r1>r2O1C=r2

  则三点的向心加速度的关系为

图 3

    A.aA=aB=aC             B.aC>aA>aB             C.aC<aA<aB       D.aC=aB>aA

3.下列关于向心力的说法中,正确的是

    A.物体由于做圆周运动产生了一个向心力

    B.做匀速圆周运动的物体,其向心力为其所受的合外力

    C.做匀速圆周运动的物体,其向心力不变

    D.向心加速度决定向心力的大小

4.有长短不同,材料相同的同样粗细的绳子,各拴着一个质量相同的小球在光滑水平面上

  做匀速圆周运动,那么                                            (   )

    A.两个小球以相同的线速度运动时,长绳易断

    B.两个小球以相同的角速度运动时,长绳易断

    C.两个球以相同的周期运动时,短绳易断

    D.不论如何,短绳易断

5.一质量为m的木块,由碗边滑向碗底,碗内表面是半径为r的球面,由于摩擦力的作用,

  木块运动的速率不变,则                                          (   )

    A.木块的加速度为零              

    B.木块所受合外力为零

    C.木块所受合外力的大小一定,方向改变

    D.木块的加速度大小不变

6.关于向心加速度,下列说法正确的是                                 (   )

    A.它描述的是线速度方向变化的快慢   B.它描述的是线速度大小变化的快慢

    C.它描述的是向心力变化的快慢       D.它描述的是转速的快慢

7.如图4所示,原长为L的轻质弹簧,劲度系数为k

  一端系在圆盘的中心O,另一端系一质量为m的金属

  球,不计摩擦,当盘和球一起旋转时弹簧伸长量为ΔL

  则盘旋转的向心加速度为_____,角速度为_____。

8.小球做匀速圆周运动,半径为R,向心加速率为a,则

    A.小球受到的合力是一个恒力        B.小球运动的角速度为

    C.小球在时间t内通过的位移为D.小球的运动周期为2π

9.汽车在半径为R的水平弯道上转弯,车轮与地面的摩擦系数为μ,那么汽车行驶的最大

试题详情

(三)例题精讲

[例题1]AB两质点均做匀速圆周运动,mAmB=RARB=1∶2,当A转60转时,B正好转45转,则两质点所受向心力之比为多少?

(学生解答本题,教师巡回指导)

师生共同分析:

解:设在时间t内,nA=60转,nB=45转质点所受的向心力F=mω2R=m()2·R

t相同,Fmn2R

题后总结:解这类题时,关键在于熟练掌握向心力和向心加速度的表达式并能灵活应用。

[例题2]如图1,ABC三个物体放在水平旋转的圆盘上,三物与转盘的最大静摩擦因数均为μA的质量是2mBC的质量均为mAB离轴距离为RC离轴2R,若三物相对盘静止,则      

    A.每个物体均受重力、支持力、静摩擦力、向心力四个力作用

    B.C的向心加速度最大

    C.B的摩擦力最小

    D.当圆台转速增大时,CB先滑动,AB同时滑动

答案:BCD

[例题3]如图2,线段OA=2ABAB两球质量相等,当它们绕O点在光滑的水平桌面上以相同的角速度转动时,两线段拉力之比TBATOB     

    A.2∶3          B.3∶2          C.5∶3          D.2∶1

答案:A

试题详情

(二)复习提问

1.什么是向心力、向心加速度?

答:(1)做匀速圆周运动的物体受到的始终指向圆心的合力,叫做向心力。

向心力是根据力的作用效果命名的,不是一种新的性质的力。向心力的作用效果:只改变运动物体的速度方向,不改变速度大小。

(2)做匀速圆周运动物体的沿半径指向圆心的加速度,叫做向心加速度。

2.向心力和向心加速度的大小怎样计算?

(1)向心力的大小与物体质量m、圆周半径r和角速度ω都有关系。

根据线速度和角速度的关系vrω可得,向心力大小跟线速度的关系为

(2)根据向心力公式,结合牛顿运动定律Fma,推导得到 

或     

3.填写下列提纲:

(1)向心力

①做匀速圆周运动的物体所受的合外力总是指向    ,所以叫    

②向心力公式:

③向心力总是指向圆心,而线速度沿圆周的切线方向,故向心力始终与线速度垂直,所以向心力的作用效果只是改变物体线速度的    而不改变线速度的    

(2)向心加速度

①向心力产生的加速度也总是指向    ,叫   

②公式:a2   

试题详情


同步练习册答案