题目列表(包括答案和解析)

 0  164356  164364  164370  164374  164380  164382  164386  164392  164394  164400  164406  164410  164412  164416  164422  164424  164430  164434  164436  164440  164442  164446  164448  164450  164451  164452  164454  164455  164456  164458  164460  164464  164466  164470  164472  164476  164482  164484  164490  164494  164496  164500  164506  164512  164514  164520  164524  164526  164532  164536  164542  164550  447348 

10.如图所示,两列简谐横波分别沿x轴正方向和负方向传播,两波源分别位于x= -2×10-1 m和x=12×10-1 m处,两列波的波速均为v=0.4 m/s,两波源的振幅均为A=2 cm.图示为t=0时刻两列波的图象(传播方向如图),此刻平衡位置处于x=0.2 m和0.8 m的P、Q两质点刚开始振动.质点M的平衡位置处于x=0.5 m处,关于各质点运动情况的判断正确的是……… (    )

A. 质点P、Q都首先沿y轴正方向运动

B. t=0.75s时刻, 两波相遇

C. t=1 s时刻,质点M的位移为+4 cm

D. t=1 s时刻,质点M的位移为-4 cm

第II卷(60分)

试题详情

9.一列简谐横波,某时刻的图象如图甲所示,从该时刻开始计时,A质点的振动图象如图乙所示,则  ……………………………………………………………………………… (    )

A. 波沿x轴正向传播

B. 波速是25 m/s

C. 经过Δt=0.4 s,质点A通过的路程是4 m

D. 质点P比质点Q先回到平衡位置

试题详情

8.如图所示是用频闪照相的方法拍摄到的一个弹簧振子的振动情况,甲图是振子静止在平衡位置时的照片,乙图是振子被拉到左侧距平衡位置20 cm处放手后向右运动1/4周期内的频闪照片,已知频闪的频率为10 Hz,则下列说法正确的是………………………………(   )

A. 该振子振动的周期为1.6 s

B. 该振子振动的周期为1.2 s

C. 振子在该1/4周期内做加速度逐渐减小的变加速运动

D. 从图乙可以看出再经过0.2 s振子将运动到平衡位置右侧10 cm处

试题详情

7.空中有一只小鸟, 距水面3m, 其正下方距离水面4m深处的水中有一条鱼,已知水的折射率为,则鸟看水中鱼离它的距离和鱼看鸟离它距离分别是:……………(    )

A.6 m  8 m     B.3 m   4 m

C.4 m  3 m     D.8 m   6 m

试题详情

6.如图所示,手电筒发出一束光,通过平面镜反射后,打到墙上,已知墙和平面镜竖直放置,相距7m,手电筒距离平面镜水平距离9m,此时手电筒发出光线与水平夹角为37度,且以角速度ω=πrad/s逆时针旋转,问此时,光斑在墙上移动的速度大小,及移动的方向。(    )

A.25πm/s  向上移动

B.25πm/s  向下移动

C.20πm/s  向下移动

D.20πm/s  向上移动

试题详情

5.下列说法正确的是……………………………………………………(   )

A.光的单缝衍射现象中,包含光的干涉

B.杨氏双缝干涉中不包含光的衍射

C.全息照片的拍摄利用了光的干涉原理

D.偏振光遇到振动方向不与之平行的偏振片,将被完全截止,不透光。

试题详情

4.彩虹是悬浮于空气中的大量小水珠对阳光的色散造成的,如图所示为太阳光照射到空气中的一个小水珠发生全反射和色散的光路示意图,其中a、b为两束频率不同的单色光。以下说法中正确的是……………  (  )

A. 色光a如果是黄光,色光b可能是紫光

B. b光的波长大于a光的波长

C. a光的光速总比b光光速大

D. 以同样的入射角(非垂直入射)由光疏介质到光密介质,b光的折射角小

试题详情

3.如图所示,有三块截面为等腰直角三角形的透明材料(图中I、II、III)恰好拼成一个正方形棱镜. 从E点垂直于边射入的单色光在F处发生全反射,在G、H连续发生两次折射后射出. 若该单色光在三块材料中的传播速率依次为v1、v2、v3,下列关系式中正确的是………………..  (  )

A. v3>v1>v2       B. v2>v3>v1  

C. v3>v2>v1       D. v1>v2>v3

试题详情

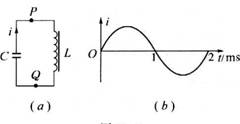
2.在右图所示的LC振荡电路中通过P点的电流随时间变化的图线如图(b)所示,若把通过P点向右的电流规定为i轴的正方向,则………(       )

A. 0至0.5ms内,电容器C正在充电

B. 0.5ms至1ms内,电容器上极板带正电荷

C. 1ms至1.5ms内,Q点比P点电势高

D. 1.5ms至2ms内磁场能在减少

试题详情

1.关于电磁波,以下结论中正确的是………………………………………..   (   )

A.电场在周围空间一定能产生磁场,磁场在周围空间,一定能产生电场

B.电磁波能在真空中传播

C.电磁波是横波

D.电磁波的频率与它传播的速度大小成正比

试题详情


同步练习册答案