题目列表(包括答案和解析)

 0  180457  180465  180471  180475  180481  180483  180487  180493  180495  180501  180507  180511  180513  180517  180523  180525  180531  180535  180537  180541  180543  180547  180549  180551  180552  180553  180555  180556  180557  180559  180561  180565  180567  180571  180573  180577  180583  180585  180591  180595  180597  180601  180607  180613  180615  180621  180625  180627  180633  180637  180643  180651  447348 

5.组成玉米和人体的基本元素是

A.H     B.O     C.N      D.C

试题详情

4.细胞中含量最多的化合物是

A.  蛋白质  B.  淀粉   C.  水   D.  糖原

试题详情

3.细胞学说揭示了:

A.植物细胞与动物细胞的区别;    

B.生物体结构的统一性;

C.细胞为什么要产生新细胞;

   D.人们对细胞的认识是一个艰难曲折的过程。

试题详情

2.在植物和动物细胞内都具有的糖类是:

A.葡萄糖;   B.蔗糖;   C.麦芽糖    D.乳糖。

试题详情

1.原核细胞和真核细胞最明显的区别在于:

A.有无核物质  B.有无细胞质  C.有无核膜  D.有无细胞膜。

试题详情

53.(7分)某同学使用显微镜观察鸭跖草叶片表皮临时装片,显微镜的目镜为10×,物镜有以下图示的两种。请回答:

(1)该同学应先用物镜    (填图中号码),观察到清晰的物像后,把要放大观察的物像移至       ,再用转换器转过物镜   (填图中号码)观察,并用        调焦。

(2)第二次观察的放大倍数为      倍。

(3)第二次观察与第一次观察比较,结果是(   )。

A.看到的细胞较第一次大而多    B.看到的细胞较第一次大而少

C.看到的细胞较第一次小而多    D.看到的细胞较第一次小而少

(4)鸭跖草叶片表皮临时装片制作的正确顺序是         

①         ②          ③          ④
 
滴一滴清水
 
把薄膜展平在水滴中
 
盖上盖玻片
 
撕取叶表皮薄膜
 
        

试题详情

52.(5分)根据“检测生物组织中糖类、脂肪、蛋白质的鉴定”实验,回答下列问题:

(1)鉴定成熟苹果肉中存在还原性糖常用的试剂是______________,该试剂与细胞内还原性糖发生作用,形成____________色沉淀,因此,可用该试剂检验糖尿病病人尿液中是否存在葡萄糖。

(2)鉴定花生子叶细胞中脂肪的实验中,能将脂肪染成橘黄色的染液是____________,用其染色时,要用酒精来冲洗浮色,这是因为______________________________________。

(3)使用双缩脲试剂应先加试剂0.1g/mlNaOH,造成     环境,再加试剂0.01g/mlCuSO4

试题详情

51.(6分)观察蓝藻和酵母菌的细胞结构图,请回答以下问题。

(1)从细胞核结构的复杂程度上分析,蓝藻和酵母菌的细胞依次是     细胞和     细胞。

(2)图中蓝藻细胞的[ 2 ]      与酵母菌细胞的[ 2 ]      均含有的物质是      ,此外细胞质中均具有的细胞器是       

试题详情

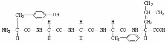
50.(5分)我国中科院上海生化所于1982年5月合成了一种具有镇痛作用而又不会像吗啡那样使病人上瘾的药物--脑啡肽,下面是它的结构简式。请分析回答。

(1)该化合物是叫______肽,含有______个肽键,写出其中一个肽键的结构简式________________。

(2)该化合物由_______种氨基酸构成,造成氨基酸种类不同的原因是_______________。

试题详情

49.(7分)观察下面的概念图,A~D表示组成细胞的四种有机物,依据它们的主要功能分析回答:

 

(1)a合成A的过程称为       反应。a的结构通式为            

(2)对大多数生物来说,B主要是指包括        

(3)B与A相比,元素组成上最大的差异是B含有    元素,但A一般没有。

(4)C不仅是细胞内良好的储能物质,还是一种很好的        ,可起到保温的作用。

(5)人和动物体特有的一种D物质是      ,它主要分布在      和肌肉中。

试题详情


同步练习册答案