题目列表(包括答案和解析)

 0  180822  180830  180836  180840  180846  180848  180852  180858  180860  180866  180872  180876  180878  180882  180888  180890  180896  180900  180902  180906  180908  180912  180914  180916  180917  180918  180920  180921  180922  180924  180926  180930  180932  180936  180938  180942  180948  180950  180956  180960  180962  180966  180972  180978  180980  180986  180990  180992  180998  181002  181008  181016  447348 

14.右图为某一遗传病的家系图,据图可以做出的判断是

A.母亲肯定是纯合子,子女是杂合子

B.这种遗传病女性发病率高于男性

C.该遗传病不可能是X染色体上的隐性遗传

D.子女中的致病基因不可能来自父亲

试题详情

13.右图为某种遗传病的系谱图,其遗传方式不可能为

A.常染色体显性遗传

B.常染色体隐性遗传

C.伴X染色体显性遗传

D.伴X染色体隐性遗传

试题详情

12.人类表现伴性遗传的根本原因在于

A.X与Y染色体有些基因不同  

B.性染色体上的基因不同于常染色体上的基因

C.性染色体没有同源染色体   

D.基因通常只存在于一种性染色体上,在其同源染色体上没有等位基因

试题详情

11.如果将含有2对同源染色体的精原细胞的DNA分子用15N标记,那么该细胞进行减数分裂产生的4个精子中,含15N的精子所占的比例是

A.25%     B.50%     C.75%      D.100%

试题详情

10、根据右图中的实验,以下结论不正确的      

A.所有的黑羊的亲代中至少有一方是黑羊

B.F1黑羊的基因型与亲代黑羊的基因型相同

C.F2黑羊的基因型都与F1黑羊相同

D.白色是隐性性状

试题详情

9.在西葫芦的皮色遗传中,已知黄皮基因(Y)对绿皮基因(y)显性,但在另一白色显性基因(W)存在时,则基因Y和y都不能表达。现有基因型WwYy的个体自交,有关于代基因型与表现型的叙述,正确的是

  A.有9种基因型,其中基因型为wwYy、WwYy的个体表现为白色

  B.有9种基因型,其中基因型为Wwyy、wwyy的个体表现为绿色

  C.有3种表现型,性状分离比为12∶3∶1

  D.有4种表现型,性状分离比9∶3∶3∶l

试题详情

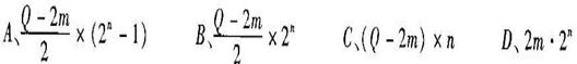
8、某DNA分子共有Q个碱基,其中胞嘧啶m个,则其复制n次,需要游离胸腺嘧啶脱氧核苷酸数为:

试题详情

7. 在果蝇细胞中,DNA分子结构稳定性最低的时期、DNA分子复制出的2个分子彼此分离发生的时期依次是

A.分裂间期;有丝分裂后期和减数第一次后期

B.分裂前期;有丝分裂后期和减数第一次后期

C.分裂间期:有丝分裂后期和减数第二次后期

D.分裂后期;有丝分裂后期和减数第二次后期

试题详情

6、四分体时期可能发生交叉互换,下图哪个图可表示互换过程:

 

试题详情

5..某双链DNA分子含有200个碱基,一条链上A:T:G:C=1:2:3:4,则该DNA分子

 A.含有4个游离的磷酸基

B.连续复制两次,需要游离的腺嘌呤脱氧核苷酸210个

C.四种含氮碱基A:T:G:C=3:3:7:7

D.碱基排列方式共有4100

试题详情


同步练习册答案