题目列表(包括答案和解析)

 0  183836  183844  183850  183854  183860  183862  183866  183872  183874  183880  183886  183890  183892  183896  183902  183904  183910  183914  183916  183920  183922  183926  183928  183930  183931  183932  183934  183935  183936  183938  183940  183944  183946  183950  183952  183956  183962  183964  183970  183974  183976  183980  183986  183992  183994  184000  184004  184006  184012  184016  184022  184030  447348 

36.隔离在物种形成中的根本作用是                       (  ) 

A.使种群间的个体互不相识        B.使种群间的雌雄个体失去交配机会

C.使不同种群各适应于不同的地理环境   D.种群间停止基因交流,各向着不同的方向演变

试题详情

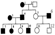
35.下列人类系谱中,有关遗传病最可能的遗传方式是               (  )   

A.常染色体隐性遗传

B.常染色体显性遗传

C.X染色体显性遗传

D.X染色体隐性遗传

试题详情

34.下图为进行有性生殖的同一种生物体内的有关细胞分裂图像,下列说法中不正确的是 (  )

A.中心法则所表示的生命活动主要发生在图⑤时期

B.图②所示分裂方式,其间期突变产生的新基因传给后代的可能性要大于图③

C.基因重组的发生与图①有关而与图③无直接关系

D.雄性动物体内,同时具有图①一图⑤所示细胞的器官是睾丸而不可能是肝脏

试题详情

33.下列实践与基因工程无关的是                         (  )

  A利用DNA探针检测饮用水是否含病毒  B选择“工程菌”来生产胰岛素

  C用不育系培育杂种一代  D培育转基因抗虫棉

试题详情

32.若让某杂合体连续自交,那么在下图中能表示自交代数和纯合体比例关系的是    (  )

 

试题详情

31.有关遗传变异的下列四种说法,请你判断                    (  ) 

①基因型为Dd的豌豆在进行减数分裂时,会产生雌雄两种配子,其数量比接近1:1

②基因自由组合定律的实质是,Fl产生配子时,等位基因分离,非等位基因自由组合

③将基因型为Aabb的玉米花粉授到基因型为aaBb的玉米植株上,所结子粒胚的基因型是: AaBb.Aabb.aaBb.aabb ④染色体中DNA的脱氧核苷酸序列.种类.数量,三者中有一个发生改变,就会引起染色体变异

A.四种都对    B.四种都不对    C.至少有一种对   D.有一种不对

试题详情

30.在一个密闭的容器内,用含有同位数13C的脱氧核苷酸合成一个DNA分子,然后加入普通的含有12C的脱氧核苷酸,经过n次复制后,所得DNA分子中含有12C的多脱氧核苷酸链数与含13C的多脱氧核苷酸链数之比是                                     (  )

  A. 2n:1    B.(2n-2):n   C.(2n-2):2    D.(2n-1):1

试题详情

29.已知黑斑蛇与黄斑蛇杂交,子一代既有黑斑蛇,又有黄斑蛇;若再将F1黑斑蛇之间交配,F2中有黑斑蛇和黄斑蛇.下列结论中不正确的是                         (  )  

  A.所有黑斑蛇的亲代中至少有一方是黑斑蛇  B.蛇的黑斑为显性性状

  C.F1黑斑蛇的基因型与亲代黑斑蛇的不同   D.F2中黑斑蛇的基因型与F1黑斑蛇的基因型可能相同

试题详情

28.右图是人类中某遗传病的系谱图(该病受一对基因控制),则其最可能的遗传方式是    (   )

  A.X染色体上显性遗传

B.常染色体上显性遗传

  C.X染色体上隐性遗传

D.常染色体上隐性遗传

试题详情

27.豌豆的基因D控制高株,d控制矮株;G控制种子为黄色,g控制种子为绿色;W控制圆种子,w种子控制皱种子.当3对等位基因杂合体进行测交,后代出现高株.黄色.圆粒植株的比例为      (  )

  A.1/8    B.2/8    C.3/8    D.4/8

试题详情


同步练习册答案