题目列表(包括答案和解析)

 0  189027  189035  189041  189045  189051  189053  189057  189063  189065  189071  189077  189081  189083  189087  189093  189095  189101  189105  189107  189111  189113  189117  189119  189121  189122  189123  189125  189126  189127  189129  189131  189135  189137  189141  189143  189147  189153  189155  189161  189165  189167  189171  189177  189183  189185  189191  189195  189197  189203  189207  189213  189221  447348 

7.在反射活动中能够起分析综合作用的是

A. 神经中枢    B. 传入神经     C . 传出神经    D. 感受器

试题详情

6.下列与免疫失调无关的疾病是

 A.过敏性鼻炎 B.血友病  C.艾滋病   D.系统性红班狼疮

试题详情

5.茎产生向光性的原因在于生长素

A.向光侧分布得多       B.背光侧分布得多

  C.在茎中分布均匀       D.在茎的顶端产生

试题详情

4.下列哪一项不是植物生长素的生理作用

 A.防止落花落果       B.促进果实发育 

C.促进植物生长        D.促进细胞的分裂.

试题详情

2.动物生命活动的调节中,起主要作用的是  A.激素调节     B.体液调节     C.神经调节    D.化学物质调节 3.静息时和产生兴奋后,神经纤维细胞膜内外电位分别是

 A.内正外负、内负外正   B.内负外正、内正外负  C.内负外正、内负外正    D.内正外负、内正外负

试题详情

1.人体内组织细胞与外界环境进行物质和能量的交换的桥梁是

A.体液     B.细胞内液  C.组织液  D.细胞外液

试题详情

(四)协议旨在防止环境受到破坏。

消息二:据估计,在1999年全世界有3.99×107hm2的农田种植了转基因作物。

(1)谈谈你对消息一的第四条的初步理解并举例说明。

(2)从生物工程技术发展趋势来看,消息二说明了什么?

37.(2色)目前,转基因技术已广泛地应用于农业,转基因食品已近在咫尺,甚至已上了我们的餐桌。有一种芽孢杆菌能产生毒素杀死玉米的害虫螟蛾,科学家将控制这一毒素合成的基因(Bt毒蛋白基因)导入玉米体内,培育出了具有抗虫能力的玉米一Bt转基因玉米。英国权威科学杂志《自然》1999年5月发表了一篇令世人震惊的论文,文中说,研究人员将“Bt转基因玉米”的药粉撒在苦莴苣菜叶上,然后让蝴蝶幼虫捕食这些菜叶,4天之后,有44%的幼虫死亡;而另外一组幼虫啃食撒有普通玉米花粉的菜叶,其死亡率没有明显升高。

请分析上述材料后回答问题:

(1)你认为蝴蝶幼虫啃食撒有Bt转基因玉米花粉的菜叶造成死亡的原因是                                                                           

(2)我国相关机构已经明确规定,凡是由转基因农作物生产的产品在其包装上必须注明是转基因产品,并注明此产品是是否含有转基因成分。这里讲的“转基因成分”是指                                                               。(这一问得分率也很低)

    38.(4分)已知细胞合成DNA有D和S两条途径,其中D途径能被氨基嘌呤阻断。人淋巴细胞中有这两种DNA的合成途径,但一般不分裂增殖。鼠骨髓瘤细胞中尽管没有s途径,但能不断分裂增殖。将这两种细胞在试管中混合,加聚乙二醇促融,获得杂种细胞。请设计一方法(不考虑机械方法),从培养液中分离出杂种细胞,并说明原理。

(1)方法:                                                       

(2)原理:                                                                                                                           

(这题得分率也不高,对选择性培养基不清楚)

39.(5分)右图示经过处理某种山羊后,从山 

羊的乳汁中获得药用蛋白的过程。请分析图解后回答有关问题:

(1)属于核移植的步骤是

           (填字母)。

(2)图中的山羊G4的性状和性别与          基本一样,山羊G4除可被称为克隆羊外,同时又为

               动物。

(3)山羊G4乳腺细胞中,含有药用蛋白基因,其他的体细胞中是否有?          

原因是                                                                  

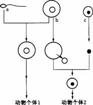
40.(5分)右图表示两种得到动物新个体的途径,请据图回答:

(1)细胞a是由初级精母细胞经过        分裂和

        后形成的。

(2)取自附睾的精子不能直接完成受精,因为         。受精过程是在      完成的。判断卵子是否完成受精的标志是            

41.(10分)2001年11月25日,美国马萨诸塞州的先进细胞技术公司(ACT)向全世界宣布,他们已经成功地克隆出了人类早期胚胎。ACT公司表示,他们的研究目的不是为了克隆人,而是为了获得治疗性的人类胚胎细胞。他们还声称一旦治疗性克隆获得成功,就可以利用克隆胚胎所得到的全能型胚胎干细胞诱导培养成各种目标器官的细胞,甚至组织和器官的整体,来修复或更换人类各种受损组织、器官,造福人类。

治疗性克隆就是将病人体细胞核移植到去核的卵细胞内,经过一定的处理使其发育成囊胚,将囊胚腔内侧的细胞分离,在体外进行诱导分化培养出遗传特征和病人完全吻合的细胞、组织或器官,如皮肤、软骨、心脏、肝脏等,再向提供体细胞的病人移植这些细胞、组织或器官,从而达到治病的目的。

请根据上述材料,回答下列问题:

(1)提取囊胚的内侧细胞群的细胞在一定条件刺激下,通过                   可形成特定组织或器官,说明这些细胞具有           性。

(2)对于克隆人,中国政府的态度是禁止         ,一再重申四不原则:                  ,但是,中国不反对治疗性克隆。你认为研究治疗性克隆有什么意义?                                                                    

(3)胚胎干细胞是由                     分离出一类细胞。中国科学家利用牛胚胎干细胞改进了克隆技术,培育出多头克隆牛,使得工厂化生产克隆动物成为可能,其方法可能是供体牛的细胞核+去核卵母细胞→                                    →许多克隆牛。(这一问得分率非常低,原因是没有写出胚胎分割这一步骤许多,原因没有看清许多字眼)

盐城市龙冈中学高二生物周练(三)

试题详情

(三)要求出口商声明货物中是否包含任何转基因成分,但无需加以具体说明。

试题详情

(二)要求买卖双方至少提供某些证明,并根据类似于世界贸易组织内部协定的文件制 定各方的义务。

试题详情

(一)在进行基因改性的生物活体--包括植物种子、动物甚至微生物出口贸易时,必须达成明确的协议。

试题详情


同步练习册答案