题目列表(包括答案和解析)

 0  189654  189662  189668  189672  189678  189680  189684  189690  189692  189698  189704  189708  189710  189714  189720  189722  189728  189732  189734  189738  189740  189744  189746  189748  189749  189750  189752  189753  189754  189756  189758  189762  189764  189768  189770  189774  189780  189782  189788  189792  189794  189798  189804  189810  189812  189818  189822  189824  189830  189834  189840  189848  447348 

4、右图是人体局部内环境示意图。以下叙述正确的是

A.1结构和2结构的细胞所处的具体内环境相同

B.人体摄入的营养物质太少会使A液和C液减少

C.3的有氧呼吸产物可参加体液调节

D.C液中可发生丙酮酸氧化分解产生二氧化碳和水

试题详情

3、下列说法正确的是

A.血浆是血细胞直接生活的环境

B.在人体的体液中,细胞内液约占1/3,细胞外液约占2/3

C.组织液是体内所有细胞直接生活的环境

D.血浆和组织液中含有较多的蛋白质,而淋巴中蛋白质较少

试题详情

2、下列有关稳态生理意义的叙述,错误的是

A.稳态有利于酶促反应的正常运行

B.稳态是机体进行正常生命活动的必要条件

C.当稳态遭到破坏时,可导致疾病发生

D.当血液的成分稳定时,人一定不会发生疾病

试题详情

1、能正确表示血浆、组织液和淋巴三者之间关系的是

试题详情

46、我国南方某些地区建立了“桑基鱼塘”农业生态系统,获得了鱼、猪、蚕和粮的全面

丰收。下图为该生态系统的物质和能量流动示意图。请据图回答:

(1)该生态系统所需的能量最终来自          

(2)该生态系统的生产者是         

(3)该生态系统中除了已知的生物种类外,还必须有        等微生物作为       

(4)在该生态系统内,物质经多次重复利用,提高了         率。

(5)若以人为能量的最后消费者,请写出该系统中能量流动最长的一条食物链           

                         

(6)人们在该系统设计时要遵循的生态学原理是           

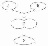
47下图为细胞融合的简略过程,请据图回答:

(1)若A、B是植物细胞,在细胞融合之前已用            处理,除去了      

  A、B到细胞C的过程中,常用的物理方法是        

融合完成的标志是              

此过程涉及到的细胞器主要有        

(2)若A、B是植物细胞,则形成的D细胞还要

应用              技术把D培养成植株。

(3)若A、B是动物细胞,一般取自            

A、B到C的过程中,常用的不同于植物细胞培养的手段

             ,所形成的D称为             。A、B融合的过程说明了细胞膜在结构上具有          性。

(4)若该过程是制备单克隆抗体,A为小鼠效应B细胞,那么,在获得此细胞之前,小鼠已被注射了         。注射后小鼠身体产生了相应的免疫反应,生成了              。图中B为               

(5)若该过程仍是制备单克隆抗体,在A、B到C的过程中,所形成的两两融合细胞有

   种,用来培养的D细胞应该是      。从中选择出它的方法用       培养,获得D后,常用的培养方法是培养基中培养和              

高二年级生物试卷(选修)

试题详情

45、现有A和B两个肉牛品种,A品种牛的细胞组成可表示为A细胞核、A细胞质,B品种牛则为B细胞核、B细胞质。

(1)如果要获得一头克隆牛,使其细胞由A细胞核和B细胞质组成,基本步骤是,从A品种牛体内取出体细胞,进行体外培养。然后再从培养细胞中取出_______注入B品种牛的_________卵母细胞,经过某处刺激和培养后,可形成胚胎,该胚胎被称为_______,将该胚胎移入代孕母牛的子宫中,通过培育可达到目的。

(2)一般来说,要想大量获得这种克隆牛比较难,原因之一是卵母细胞的数量______,为解决这一问题,可以用______激素处理B品种母牛。

(3)克隆牛的产生说明_____具有全能性。克隆牛的性状主要表现____品种牛的特征。由A、B两品种杂交得到的牛与克隆牛相比,杂交牛细胞核的遗传物质来自______个亲本,细胞质来自______性亲本,克隆牛和杂交牛的遗传物质组成______(相同,不同)

试题详情

44、基因工程又叫基因拼接技术。

 (1)在该技术中,用人工合成方法获得目的基因的途径之一是:以目的基因转录的          

为模板,        成互补的单链DNA,然后在酶的作用下合成            

(2)基因工程中常用的受体细胞有细菌、真菌、          。如将目的基因导入植物细胞,采用最多的方法是________________,在此法中,只有将目的基因插入到_____________的___________上,才能转移到受体细胞并整合受体细胞染色体DNA上,除此之外,还可采用______________法和_____________法将目的基因导入植物细胞;如将目的基因导入动物细胞,_________________   是转基因动物中采用最多的方法,其受体细胞一般为动物的_________________。

试题详情

43、胚胎移植的基本程序如下图(以牛胚胎移植为例),请据图回答:

(1)对供体母牛、供体公牛的要求是______      ____。受体母牛必须和供体牛_____     _         

(2)同期发情处理的方法是____________                ,它可以促进_________  __的分泌和______   _______的生成。该过程中的“冲卵”,则冲出的是             ,这时它应处于                         时期。

(3)一次给受体移入多胚胎,产生的多个后代,其基因型都相同吗? _____   _    __

为什么? ____________________                                       

(4)如果供体牛均为杂合子(毛色受一对等位基因A、a控制),则胚胎移植所得犊牛的基因型为                 如果受体母牛一次生出多头犊牛且基因型完全相同,则可能是             的结果。

试题详情

42、下列过程中,发生膜融合的是                       ( )

A.植物体细胞杂交              B.受精过程

C.氧进入细胞中的线粒体        D.效应B细胞产生抗体

Ⅱ卷 非选择题(每空1分,共计54分)

试题详情

41、《四千年的农民》一书中记载了中国农民几千年来的耕作方法:积极种植能够固氮的豆科作物,以及收集一切可能的有机物质,包括人畜粪便、枯枝落叶、残羹剩饭、河泥、炕土、老墙土以及农产品加工过程中的废弃物等,采用堆肥和沤肥等多种方式,把它们转变为有机肥料,施用到农田中。这种做法的优点是              (  )

A、改善土壤结构        B、培育土壤微生物

C、实现土壤养分的循环利用   D、改变土壤酸碱性

试题详情


同步练习册答案