题目列表(包括答案和解析)

 0  190968  190976  190982  190986  190992  190994  190998  191004  191006  191012  191018  191022  191024  191028  191034  191036  191042  191046  191048  191052  191054  191058  191060  191062  191063  191064  191066  191067  191068  191070  191072  191076  191078  191082  191084  191088  191094  191096  191102  191106  191108  191112  191118  191124  191126  191132  191136  191138  191144  191148  191154  191162  447348 

1.下列与生物进化相关的叙述,正确的是   

A.进化总是由突变引起的           B.进化时基因频率总是变化的

C.变异个体总是适应环境的          D.进化改变的是个体而不是群体

试题详情

8. (8分)有人设计了一个证明植物生长具有向性的实验(如下图所示):把一些湿棉絮固定在木板A和B上;把三株已长出垂直胚根的幼苗按图示方式固定在木板上;把木板A垂直放在支架上,B固定在旋转器的旋转盘上(旋转盘如图示垂直放置)。把两组装置分别放在两个不透光的箱内。启动旋转器,使它沿垂直轴以每小时约四周的速度旋转。两天后观察两组装置的结果。

(1)为什么要将两组实验放在不透光的盒内?                   

(2)木板A上的三株幼苗的胚根生长方向如何?_                 

(3)木板B上的三株幼苗的胚根生长方向如何?_                   

(4)由此实验可以得出的结论是什么?_                       

试题详情

7. (8分)下图是生长素作用与其浓度关系图。课本上说:“一般情况下,生长素在较低浓度促进生长,在浓度过高时则会抑制生长,甚至杀死植物。”看图理解这句话,回答下列问题:

(1)曲线    段可促进植物生长,则该范围的生长素浓度为(高、低)   浓度。曲线   段可抑制植物生 长,则该范围的生长素浓度为    浓度。

(2)向光生长的幼苗,其背光面浓度       于向光面    于B点。

(3)具有顶端优势的植物,其侧芽浓度      于顶芽,       于B点。

试题详情

6. (6分)右图表示生态系统中碳循环示意图,请据图回答:

   (1)大气中CO2进人生物群落是通过图中________________________作用实现的。

   (2)碳元素在生物群落和无机环境之间的循环形式是________________。

   (3)进行①过程的生物在生态系统中的成分是_____________________。

(4)人类活动对碳循环干扰最大的是_________________途径,这一干扰,增加了________的含量,造成的主要环境问题是__________________。

试题详情

4. (8分)调查某草原田鼠数量时,在设置1公顷的调查区内,放置100个捕鼠笼,一夜间捕获鼠32头,将捕获的鼠经标记后在原地释放。数日后,在同一地方再放置同样数量的捕鼠笼,这次共捕获30头,其中有上次标记过的个体10头。请回答下列问题:

⑴若该地区田鼠种群个体总数为N,则 N=        头。

A.30           B.32          C.64           D.96

⑵要使上面所计算的种群个体总数和实际相符,理论上在调查期必须满足的两个条件是      

A.有较多个体迁出调查区           B.调查区内没有较多个体死亡

C.调查区内没有较多个体出生         D.有较多个体迁入调查区

⑶调查甲、乙两草原所捕获鼠的月龄,它们的月龄构成如左上图。据图分析   草原的田鼠种群属于   型;    草原的田鼠种群属于    型,可以预测,该草原鼠害将会严重,必须作好防治准备工作。

   ⑷若某种群有成鼠a头(计算时作为亲代),每头雌鼠一生产仔16头,各代雌雄性别比例均为1:l,子代幼鼠均发育为成鼠,所有个体的繁殖力均相等,则从理论上计算,第n代产生的子代数为 :          

A.a×8n-1       B.a×8n+1       C. a×8n        D.a×8n-2

⑸若将雌雄成鼠各若干头,放在大小一定的笼内饲养,让它们交配繁殖,且供给足够的饵料和水,则笼内鼠数变化和饲养时间之间的关系,应为右上图中的        曲线。

试题详情

3. (9分)豚草是原产自北美的植物,其花粉是北京地区主要的过敏原。下图甲示我国北安河地区路旁的一片闲散地,课外小组的同学对此地部分植物的种群密度连续进行了五年的调查,结果如表所示(单位:株/m2)。

(1)采用的调查方法是        ;取样的关键除应考虑样方的大小和数量外,还应注意      ;种群密度的计算方法是                        

(2)很显然,豚草与表中所列本地植物呈竞争关系,它们相互争夺       。调查结果表明,豚草具有生存优势。

(3)豚草的花粉可引起很多人呼吸道过敏反应(过敏性鼻炎、支气管哮喘)。医学上认为,过敏反应是         所发生的反应。

(4)从保护生物多样性的角度考虑,你认为城市绿化在选择物种时应尽量         

(5)请在坐标图乙(图一)中绘出豚草和灰绿藜种群密度的变化曲线。

(6)如图二的甲图表示某段时间豚草种群数量变化的曲线,请在图二乙图中绘出种群增长率的变化曲线。

图一                        图二

试题详情

2.(5分)某实验小组为了验证乙烯的生理作用,进行了下列实验:取A、B两箱尚未成熟的番茄(绿色),A箱用一定量的乙烯利(可释放出乙烯)处理;B箱不加乙烯利作为对照。当发现两箱番茄颜色有差异时,A箱的番茄呈______色,B箱番茄呈_________色。从这两箱番茄中取等量的果肉,分别研磨成匀浆,除去匀浆中的色素,过滤。取无色的等量滤液分别加入A、B两支试管中,再各加入等量斐林试剂,加热后,摇匀观察,发现A试管中呈砖红色,B试管中也呈此颜色,但比A试管中的颜色______(深或浅),说明经乙烯利处理后番茄中      含量增多了。根据上述实验可证明乙烯具有___        _________的作用。

试题详情

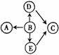
1. (9分)生态系统中的食物网简图,请据图回答:

(1)该食物网中的肉食动物是       ,含能量最多的是      ,A生物与E生物的关系是   

(2)若B生物种群总能量为7.1×l09 kj,A生物种群总能量为2.3×108 kJ,从理论上计算C储存的总能量最少为     kj。在该生态系统的能量流动过程中B生物种群的能量除了图中所示的分配外,其余能量的去向还有

             

(3)若A种群生物量减少,E和D种群将如何变化?

                 

(4)右图是食物链“树→昆虫→食虫鸟”的两个金字塔。其中左边为   金宇塔,右边为     金字塔。两个金字塔不同的原因是:                         

试题详情

35. 下列与微生物有关的叙述中不正确的是:

① 酵母菌  ② 乳酸菌  ③ 硝化细菌  ④ 蓝藻  ⑤ 烟草花叶病毒

A .从生态系统中的成分看, ① ② ③是分解者, ④ 是生产者

B .从同化作用类型看, ② 是厌氧型, ③ ④ 是需氧型

C .从异化作用类型看, ① ② 异养型, ③ ④ 是自养型

D .从结构和成分看, ① 具有成形的细胞核, ⑤ 的遗传物质中不含胸腺嘧啶

第II卷

1
2
3
4
5
6
7
8
9
10
11
12
13
14
15
 
 
 
 
 
 
 
 
 
 
 
 
 
 
 
16
17
18
19
20
21
22
23
24
25
26
27
28
29
30
 
 
 
 
 
 
 
 
 
 
 
 
 
 
 

31
32
33
34
35
 
 
 
 
 

试题详情


同步练习册答案