题目列表(包括答案和解析)

 0  204930  204938  204944  204948  204954  204956  204960  204966  204968  204974  204980  204984  204986  204990  204996  204998  205004  205008  205010  205014  205016  205020  205022  205024  205025  205026  205028  205029  205030  205032  205034  205038  205040  205044  205046  205050  205056  205058  205064  205068  205070  205074  205080  205086  205088  205094  205098  205100  205106  205110  205116  205124  447348 

3.荷兰学者Frits.Went于1928年把燕麦胚芽鞘尖端切下,

放在琼脂薄片上,约1h-2h后移去胚芽鞘尖端,将琼脂小

块放在去顶的胚芽鞘一侧,然后置于黑暗条件下培养,胚

芽鞘逐渐向放置琼脂小块的对侧弯曲生长,该实验结果不

能直接证明的问题是  (   )

A.胚芽鞘顶端能产生影响生长的物质  B.影响生长的物质自顶端向下运输

C.该物质能促进胚芽鞘的生长     D.单向光使该物质在胚芽鞘内呈不均匀分布

试题详情

2.右图表示用云母片(不透水性)插入掩埋胚芽鞘的尖端的不同部

位,从右边用光照射,胚芽鞘的生长状况将是(   )

A.甲和乙都向右弯曲      B.甲和乙都向左弯曲

  C.甲向左弯曲、乙向右弯曲  D.甲向左弯曲、乙不弯曲

试题详情

1.用燕麦胚芽鞘做向光性实验发现植物生长素产生的部位、感受光刺激的部位、向光弯曲的部

位分别是(   )

A.胚芽鞘尖端、尖端下面一段、向光弯一侧  B.胚芽鞘、胚芽鞘的尖端、尖端下面的一段

C.胚芽鞘尖端、胚芽鞘尖端、尖端下面的一段  D.胚芽鞘尖端、胚牙鞘、尖端下面的一段

试题详情

5. 已知细胞合成DNA有D和S两条途径,其中D途径能被氨基嘌呤阻断。人的淋巴细胞中有这两种途径,但是一般不能分裂增殖。鼠骨髓瘤细胞中尽管没有S途径,但能够不断分裂增殖。将这两种细胞在试管中混合,加聚乙二醇促融(只考虑两个原生质体的相互融合),获得杂种细胞。请回答:

(1)试管中除融合的杂种细胞外,还存在的融合细胞是          

(2)设计一种方法(不考虑机械方法),从培养液中分离出杂种细胞,并说明原理。

方法:                    

原理:                       

 

 

 

 

试题详情

4. 现有甲、乙两个烟草品种(2n=48),其基因型分别为aaBB和AAbb,这两对基因位于非同源染色体上,且在光照强度大于800勒克司时,都不能生长,这是由于它们中的一对隐性纯合基因(aa或bb)作用的结果。

取甲乙两品种的花粉分别培养成植株,将它们的叶肉细胞制成原生质体,并将两者相混,使之融合,诱导产生细胞团。然后,放到大于800勒克司光照下培养,结果有的细胞团不能分化,有的能分化发育成植株。请回答下列问题:

(1)甲烟草品种花粉的基因型为      

(2)将叶肉细胞制成原生质体时,使用            破除细胞壁。

(3)在细胞融合技术中,常用的促融剂是            

(4)细胞融合后诱导产生的细胞团叫           

(5)在大于800勒克司光照下培养,有    种细胞团不能分化,能分化的细胞团是由     的原生质体融合来的(这里只考虑2个原生质体的相互融合)。由该细胞团分化发育成的植株,其染色体数是      ,基因型是      。该植株自交后代中,在大于800勒克司光照下,出现不能生长的植株的概率是        

试题详情

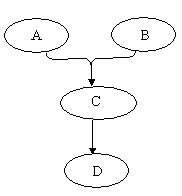
3. 下图为细胞融合的简略过程图,请回答:

(1)若A、B是植物细胞,在细胞融合之前已经用     处理,除去了      ;A、B到细胞C的过程中,常用的物理方法是               ,融合完成的标志是      

(2)若A、B是植物细胞,则形成的D细胞还要应用       技术把D细胞培养成植株。

(3)若A、B是动物细胞,一般取自        ,然后用      使其分散开来。A、B到C的过程中,常用的不同于植物细胞的手段是      ,所形成的D称为        

(4)若该过程是制备单克隆抗体,A为小鼠B淋巴细胞,那么,在获得此细胞之前,小鼠已经被注射了     。由D细胞连续分裂生成大量细胞的过程,称为       。这种细胞既能无限繁殖,又能分泌         

(5)若该过程仍是制备单克隆抗体,在A、B到C的过程中,所形成的C有     种(只考虑两个原生质体的相互融合),用来培养的D细胞应该是       。从中选择出它的方法是       培养。获得D后,常用的培养方法是           

试题详情

2. 人工肾能部分代替真正的肾起作用。如下图所示,患者的血液在中空的纤维中向一侧流动,称为透析液的水溶液在中空的纤维外侧向相反的方向流动。血液中的水分子、废物等通过血液透析膜(中空纤维壁)进入到透析液中,请分析:

(1)人工制成的血液透析膜具有         性,当病人的血液通过人工肾时能把病人血液中的        透析掉,然后让        的血液返回到病人的体内。

(2)为了防止某些盐类等有用的物质随着废物离开血液,透析液中的酸碱度和渗透压应与          中的基本相同。

(3)患者的血液需要多次流经人工肾后,才能除去大部分小分子废物(如尿素等),原因是         

试题详情

1. 世界上第一只克隆绵羊“多利”的培育程序如右图所示。请看图后回答:

(1)写出图中 a 、b 所指的细胞工程名称: a          ,b          

(2)实施细胞工程a 时,所需的受体细胞大多采用动物卵细胞的原因是:      

         

(3)“多利”面部的毛色是    ,请根据遗传学原理说明判断的原因是:      

(4)继植物组织培养之后,克隆绵羊的培育成功,证明动物细胞也有         

试题详情

30.“生物导弹”是指(   )

A. 单克隆抗体          B. 产生特异抗体的B淋巴细胞   

C. 杂交瘤细胞          D. 在单克隆抗体上连接抗癌药物

试题详情

29. 植物细胞表现出全能性的必要条件是(   )

A. 给与适宜的营养和外界条件

B. 导入其他植物细胞的基因

C. 脱离母体后,给与适宜的营养和外界条件

D. 将成熟的筛管的细胞核移植到去核的卵细胞中

试题详情


同步练习册答案