题目列表(包括答案和解析)

 0  205665  205673  205679  205683  205689  205691  205695  205701  205703  205709  205715  205719  205721  205725  205731  205733  205739  205743  205745  205749  205751  205755  205757  205759  205760  205761  205763  205764  205765  205767  205769  205773  205775  205779  205781  205785  205791  205793  205799  205803  205805  205809  205815  205821  205823  205829  205833  205835  205841  205845  205851  205859  447348 

22.上海医学遗传研究所成功培育出第一头携带人白蛋白基因的转基因牛。他们还研究出一种可大大提高基因表达水平的新方法,使转基因动物乳汁中的药物蛋白含量提高了30多倍,标志着我国转基因研究向产业化的目标又迈进了一大步。以下与此有关的叙述中,正确的是

   A.“转基因动物”是指体细胞中出现了新基因的动物

   B.所谓“提高基因表达水平”是指设法使牛的乳腺细胞中含有更多的人白蛋白基因

   C.人们只在转基因牛的乳汁中才能获取人白蛋白,是因为人白蛋白基因只在转基因牛的乳腺细胞中是纯合的,在其他细胞中则是杂合的

D.转基因牛的肌肉细胞中有人白蛋白基因,但不能表达

答案:D 解析:所谓转基因动物是指携带有外源基因并能表达和遗传的动物;外源基因在其他生物体中原来就存在,故A错。所谓“提高基因表达水平”是指增强白蛋白基因表达;白蛋白基因数目没有增多,B错。“转基因动物”一般用到的受体细胞是受精卵,发育的个体几乎所有细胞中都有外源基因。

试题详情

21.单克隆抗体制备过程中所用的骨髓瘤细胞是一种基因缺陷型细胞,其合成核酸的途径能被氨基喋呤阻断。现将从预先注射了某种抗原的小鼠脾脏中获得的B淋巴细胞与上述骨髓瘤细胞混合,加入PEG促融后,再加入含氨基喋呤的培养液。若将这些混合物分装于细胞培养板的小孔中培养(如右图所示),则小孔中的培养物不可能出现的结果是

A.细胞分裂繁殖,产生抗体,专一性抗体检验呈阴性

B.细胞分裂繁殖,产生抗体,专一性抗体检验呈阳性

C.没有活细胞,产生抗体

D.没有活细胞,不产生抗体

答案:C 解析:单克隆抗体制备过程中与骨髓瘤细胞发生融合的B淋巴细胞种类很多,有的能够产生专一性抗体,有的不能;但只有活细胞,才能产生抗体。

试题详情

20.近日名为“我的皮肤”的生物活性绷带在英国诞生了,它给皮肤烧伤病人带来了福音。该活性绷带的原理是先采集一些细胞样本,再让其在特殊的膜片上增殖。5-7天后,将膜片敷在患者的伤口上,膜片会将细胞逐渐“释放”到伤口,并促进新生皮肤层生长,达到加速伤口愈合的目的。下列有关叙述中,不正确的是:

A.“我的皮肤”的获得技术属于动物细胞工程

B.人的皮肤烧伤后会因人体第二道防线的破坏而导致免疫力下降

C.种植在膜片上的细胞样本最好选自患者本人

D.膜片能否把细胞顺利“释放”到伤口与患者自身皮肤愈合与细胞膜上HLA有关

答案:B 解析:皮肤和黏膜是保卫人体的第一道防线; 体液中的杀菌物质和吞噬细胞是保卫人体的第二道防线;免疫器官和免疫细胞是保卫人体的第三道防线。

试题详情

19.下列不能在人体内环境中进行的生理过程是

A.乳酸+碳酸氢钠→乳酸钠+碳酸         B.碳酸钠+碳酸→碳酸氢钠

C.抗毒素中和外毒素                      D.丙酮酸+水→二氧化碳+氢+能量

答案:D 解析:丙酮酸+水→二氧化碳+氢+能量发生在线粒体中;线粒体悬浮于细胞内液中。

试题详情

18. 2007年6月下旬以来,栖息在洞庭湖区400多万亩湖洲中的约20亿只东方田鼠,随着水位上涨部分内迁。它们四处打洞,啃食庄稼,严重威胁湖南省沅江市、大通湖区等22个县市区沿湖防洪大堤和近800万亩稻田。目前,地方政府正在组织群众展开一场“人鼠大战”。在灭鼠时,如果我们杀死老鼠总量的一半再过一段时间后,你会发现( )

A.很快恢复到原来的数量     B.会继续下降,然后快速增长

C.保持数量不变       D.先增加,然后快速下降

答案:A 解析:从种群增长“S”型曲线中,约在K/2时,增长率最大,所以,在灭鼠时,如果我们杀死老鼠总量的一半,其增长率增大,很快恢复到原来的数量。

试题详情

17.下列曲线表示四个不同的自然生态系统在受到同等程度的外来干扰后,初级消费者数量的变化情况。其中抵抗力稳定性最高的生态系统是(  )

答案:C 解析:在受到同等程度的外来干扰后,初级消费者数量的变化最小,说明该生态系统的自动调节能力越强,抵抗力稳定性越高。

试题详情

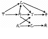
16.右图是一个陆生生态系统食物网的结构模式图。下列各项叙述中,不正确的是(  )

A.此生态系统中的生产者不止一个

   B.辛从食物链甲→丙→乙→丁→辛获得的能量最少

   C.若丙种群数量下降10%,辛种群不会发生明显变化

   D.既存在竞争关系又有捕食关系的只有丁和辛

答案:D解析:该项生态系统中生产者有甲和戊,故A选项正确;食物链越长,最高营养级所获得的能量越少,故B选项正确;在复杂的食物网中,一种生物数量的增多或减少,对最高营养级生物数量的影响较小,故C选项也正确。

试题详情

15.科学家发现人和猪的胰岛素仅差一个氨基酸,于是便对猪的胰岛素基因做了适当的改造和修饰,使其在酵母菌细胞内表达出人的胰岛素;后因胰岛素的产量不理想,又对该基因进行了进一步的修饰,使其产量大幅度提高。上述生物工程中对目的基因结构的两次修饰分别发生在

①   内含子  ②外显子  ③编码区  ④非编码区

A.③④        B.②④        C.③①           D.②①

答案:B解析:外显子属于编码序列,能编码蛋白质中氨基酸序列,氨基酸改变应改变内含子;非编码区调控基因的表达。

试题详情

14.下图甲、乙、丙、丁表示的四株豌豆体细胞中的两对基因及其在染色体上的位置,下列分析不正确的是(  )

A.甲、乙杂交后代的性状分离之比是3∶1

B.甲、丙杂交后代的基因型之比是1∶1∶1∶1

C.四株豌豆自交都能产生基因型为AAbb的后代

D.甲株中基因A与a的分开发生在减数第二次分裂时期

答案:D  解析:A与a是位于同源染色体上的等位基因,A与a分开发生在减数第一次分裂后期。

试题详情

13.以下的各种杂交方式及所采取的处理方式不相符合的是

         杂交方式               处理方式

   A.西瓜属雌雄同株异花,若四倍体♀╳二倍体♂    母本去雄

   B.蛇麻属雌雄异株,若二倍体♀╳四倍体♂   不需套袋,不需去雄

   C.玉米属雌雄同株异花,若同时正反交     亲本双方均对雌花套袋,并人工授粉

   D.豌豆属雌雄同株同花,若高茎♀╳矮茎身♂  母本去雄并套袋

答案:A解析:西瓜属雌雄同株异花,母本雌花不需去雄,需套袋。

试题详情


同步练习册答案