题目列表(包括答案和解析)

 0  206260  206268  206274  206278  206284  206286  206290  206296  206298  206304  206310  206314  206316  206320  206326  206328  206334  206338  206340  206344  206346  206350  206352  206354  206355  206356  206358  206359  206360  206362  206364  206368  206370  206374  206376  206380  206386  206388  206394  206398  206400  206404  206410  206416  206418  206424  206428  206430  206436  206440  206446  206454  447348 

32.(9分)

(1)苏丹Ⅲ或苏丹Ⅳ溶于酒精   NaOH   2

(2).用来与化学试剂发生反应后的颜色作对比,增强说服力

(3)二苯胺      

(4)(解离后)细胞死亡   (5)叶绿素a和叶绿素b(答不全不得分)

(6)蔗糖浓度太大,细胞严重失水而死亡

(7)绿色叶片应该先在热的酒精中脱去叶绿素,再去染色、制片

试题详情

31.(10分)(1)内质网和高尔基体(2分)(2)脂质(或脂类物质、磷脂)(3)② ⑤ 

(4) 线粒体  (5)C、H、O、N (答全对得1分)  N  (6)载体蛋白  能量

试题详情

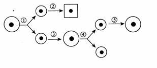
40. ( 7 分)右侧的模式图表示生物体内的有关体细胞的一些生命现象,分析后运用生物学术语准确回答:

( 1 )图中 ① 过程表示_____________________________,其意义是___________________________。

 ( 2 )图中 ② 过程表示______________________,其根本原因_______________________________

( 3 )图中 ① ② ③ ④ ⑤ 生理过程中,表示一个完整细胞周期的依次是______________________。

选择题答案:

1
2
3
4
5
6
7
8
9
10
B
B
C
D
B
D
D
D
B
B
11
12
13
14
15
16
17
18
19
20
D
A
B
D
A
C
B
D
C
D
21
22
23
24
25
26
27
28
29
30
CD
BCD
BCD
ABD
AB
AB
ABC
BCD
BD
BC

试题详情

39. ( 8 分)幽门螺杆菌是引起胃炎和胃溃疡等疾病的“罪魁恶首”。右图是幽门螺杆菌结构模式图。

( 1 )幽门螺杆菌与酵母菌比较,两者共有的结构是___________________(填序号);两者的主要区别在于幽门螺杆菌_______________________________

 ( 2 )幽门螺杆菌表达遗传信息的最终场所是 [  ]______________.

 ( 3 )沃伦和马歇尔用高倍显微镜观察慢性胃炎活体标本时,意外地发现了许多某种细菌,而且这种细菌总是出现在慢性胃炎标本中,而正常的胃窦粘膜则没有这种细菌。他们根据这一现象,提出了关于慢性胃炎病因的假设:

___________________________________________________________________________________

( 4 )进一步研究发现,幽门螺杆菌可产生尿素酶、蛋白酶、磷脂酶等多种酶,其中的______________(酶)可直接破坏胃粘膜的完整性。

试题详情

38. ( 10 分)如图表示生物体内某些有机物的组成关系及功能关系,其中 D 是 RNA , C 、 E 都是高分子化合物, C 是主要的遗传物质, A 、 B 是组成它们的基本单位。请据图分析回答:

( 1 )真核生物体内的 A 物质有_________种, B 物质在生物体内约有_______________种。

( 2 )合成 C 、 D 的 A 物质的不同点表现在_______________(碱基)不同, C 物质和 D 物质在空间结构上的不同点表现在_________________

______________________, C 物质与 D 物质的关系是_________________。

 ( 3 ) c 存在的主要场所是____________,合成 E 的主要场所是___________

( 4 ) C 、 E 都有各自特有的组成元素,这些特有元素分别是_________。

试题详情

37.(7分)下图是细胞重大生命活动图示,请据图回答下列问题。

(1)此图表示的是            生物细胞重大生命活动图示;

(2)细胞识别是细胞信号传导的前提,它是通过             实现的,细胞识别物质基础是该结构上有         

(3)A、B、C、D中,染色体结构动态变化主要发生在         ,基因表达的过程则发生在          

(4)细胞分化过程中,如果由于某种因子的作用,就有可能使            从抑制状态转变成激活状态,从而使正常细胞发生癌变转化为癌细胞。

(5)图中细胞增殖的主要方式是          

试题详情

36.(8分)新鲜叶类蔬菜常残留有水溶性有机农药。人们一般认为:把蔬菜浸入清水中一段时间,即

处理方法
未作处理
仅用纯净水冲洗1分钟后
浸入纯水30分钟后

1000g蔬菜农药残留量
0.196mg
0.086mg
0.123mg

可大大减少蔬菜的农药残留量。对此,某研究机构做了以下实验:

 实验①:取同一新鲜蔬菜样本各1000g,用不同方法处理,结果如下:

处理方法
未作处理
仅用纯净水冲洗1分钟后
浸入纯水30分钟后
1000g蔬菜农药残留量
0.196mg
0.086mg
0.123mg

 实验②:取同一新鲜蔬菜若干浸入一定量纯水中,每隔一段时间,取出一小片菜叶,测定其细胞液浓度,所得数据可绘出如右图的曲线:

 据上述实验结果分析回答:

(1)对实验①结果的解释是:用纯净水冲洗1分钟后,蔬菜农药残留量比未作处理减少了一半以上,这是因为       

而浸入纯水30分钟后,蔬菜残留农药量反倒比仅用纯水冲洗1分钟的蔬菜农药残留量多,这说明                 

(2)从对实验②曲线的分析中可知,从A→B点,植物细胞液浓度变化的原因是        

而从B→C点,细胞液浓度变化的原因则是      

试题详情

35.(6分)下图A为二个渗透装置,溶液a、b为等浓度的同种溶液,液体c为清水;图B为“观察植物细胞质壁分离与复原”实验看到的处于30%蔗糖溶液的紫色洋葱表皮细胞。请回答:

(1)一个成熟的植物细胞可看作一个封闭的渗透系统,因为图B中的       相当于图A中的2(半透膜),           相当于图A中的a溶液,4处的物质为          ,这种物质能到达4处是因为                 

(2) 若要探究溶液浓度对渗透作用的影响,则要调整图A中的某一溶液浓度,调整后,a、b、c三种溶液浓度大小顺序最好为:              。(2分)

试题详情

34.(7分)同位素标记是生物学研究的常见方法。请分析并回答下列有关问题。

(1)将一棵小青菜在含有H218O的培养液中培养,并用钟罩将其罩住。将此装置放在充足的光照条件下,很快在钟罩的空气中发现了H218O和18O2,则钟罩的空气中发现的H218O的主要来源是             

(2)如果用含14C的CO2分别来追踪小麦(C3植物)、玉米(C4植物)光合作用过程中碳原子的转移途径,则14C首先分别出现在___________   _物质中。

(3)用含15N标记的(NH4)2SO4给水稻施肥,经过放射性跟踪检测,结果在猪的唾液和尿液中均检测到15N的存在,那么唾液和尿液中最终检测到的15N的形成分别是由于蛋白质代谢的(填写生理过程名称)                 

(4)下面为研究人体细胞内抗体合成与转运途径的示意图,图中a、b、c、d、e代表细胞结构,则

①现有3H标记的胸腺嘧啶脱氧核苷酸、尿嘧啶核糖核苷酸以及亮氨酸,拟测定抗体的合成与转运,应选择的物质是            

②抗体从开始合成到分泌出细胞,经过的细胞器顺序是(填字母)      

(5)用32P标记的Na2HPO4加入培养液中标记细胞,研究正常的骨髓细胞和癌细胞的ATP代谢速率。获得细胞后,在培养液中加入葡萄糖、氨基酸、用32P标记的Na2HPO4无机盐外,还要加入       等物质。

试题详情

33.(8分)下图是在光照条件下,小麦叶肉细胞内发生的生理过程,请回答:

(1)图中E、G所代表的物质分别是                

(2)该细胞中B物质的生成场所为              

(3)参与图中所示生理过程的物质A在细胞内的存在形式是 _____ ;该细胞内能生成A的细胞器有______    

(4)与上图生理活动有关的两种细胞器,可进行转录过程,除自身DNA和原料外,再写出直接参与该过程的两种有机物名称:          、          

(5)在夏季光照较强的上午,从O2、CO2进出细胞的角度分析,图中不妥之处是  ____________________________ 

试题详情


同步练习册答案