题目列表(包括答案和解析)

 0  223405  223413  223419  223423  223429  223431  223435  223441  223443  223449  223455  223459  223461  223465  223471  223473  223479  223483  223485  223489  223491  223495  223497  223499  223500  223501  223503  223504  223505  223507  223509  223513  223515  223519  223521  223525  223531  223533  223539  223543  223545  223549  223555  223561  223563  223569  223573  223575  223581  223585  223591  223599  447348 

6.以上四图中昼夜温差最大的是

试题详情

5.大气对地面的保温作用是   (   )

①大气中的氮,吸收地面长波辐射的能力很强 ②大气中的二氧化碳和水汽吸收地面长波辐射,将大 部分热量保存在大气中  ③大气通过逆辐射,将大部分热量还给地面  ④多云的夜晚要比晴朗的夜晚凉 爽些

  A.①②   B.②③   B.①③   D.②④

试题详情

4.下面少数民族的对话,正确的是   (   )

A.高山族人说:“我们这里纬度低,太阳高度角大,太阳辐射最强” 

B.鄂伦春人说:“我们这里纬度高,夏季白昼长,日照长,故太阳辐射最强”

C.维吾尔人说:“我们这里深居内陆,气候干旱,晴天多,云量少,太阳辐射最强”

D.藏族人说:“我们这里地势高,空气稀薄,尘埃少,水汽少,晴天多,日照时数多,因此太阳辐射最强”

试题详情

3.太阳辐射由低纬向两极递减的原因是   (   )

①低纬太阳高度角较大,等量的太阳辐射照射的面积小,单位面积上得到的多  ②低纬太阳高度角较小,等量的太阳辐射照射的面积大,单位面积上得到的多  ③低纬太阳高度大,经过大气的路程短,太阳  辐射被大气削弱得小,地面得到的多  ④低纬太阳高 度角小,经过大气的路程长,太阳辐射被大气削弱少,地面得到的多

A.①②   B.②③   C.①③   D.②④

试题详情

2.下列现象主要是由大气散射作造成的有(   )

①晴朗的天空呈蔚蓝色  ②日出前的黎明天空已明亮  ③夏日里白天多云,气温不会太高  ④晚秋或寒冬,霜冻多出现在晴朗的夜晚

A.①②   B.②③  B.①③   D.②④

试题详情

1.下列现象与大气对太阳辐射削弱作用无关的是   (   )

A.晴朗的天空呈蔚蓝色      B.晴天的夜晚比多云的夜晚气温低

C.日出前的黎明天空已明亮    D.晴天的白天比多云的白天气温高

试题详情

38.读下面的“北半球某天气系统形成”示意图,回答:

(1)图中虚线箭头表示_________,实线箭头表示________

(2)从气压状况分析,A表示_________,B表示___________

(3)从气流状况分析,A表示________,B表示_________

(4)一般情况下,受A控制的地区,天气_____,当B过境时,常出现_______天气。

(5)从图中可以看出,北半球气旋的东部吹_________风,反气旋的东部吹_______风。

[能力提升]

试题详情

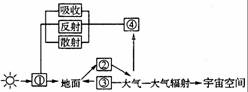
33.根据下图中所给内容,完成下列要求:

(1)图中①、②、③表示的辐射名称:①_____辐射,②____辐射,③_____辐射。

(2)图中④表示大气对太阳辐射的___________作用。

(3)大气把辐射的绝大部分吸收,又以_____________的形式把大部分能量还给地面,对地面起到____________作用。

(4)影响①到达地面的强度的最主要因素是____________,这是因为________________

(5)地面增温主要来自图中的(以下填数码)_________;大气受热主要来自图中的________________

试题详情

31.下图是我国某地区两天的气温日变化曲线图,读图后回答:

(1)  A,B两条曲线中,表示阴天时气温变化的是__________

(2)  白天阴天,气温比晴天时较,这是由于______________

(3)  夜晚阴天,气温比晴天时较,这是由于_____________

试题详情

30.我国华北地区某地,几天内天气变化情况如下:开始两天晴转阴,接着出现强大的西北风,风停后转晴,气温下降,判断是(  )

A.冷锋过境天气   B.暖锋过境天气  C.准静止锋影响下的天气  D.反气旋影响下的天气

试题详情


同步练习册答案