题目列表(包括答案和解析)

 0  27595  27603  27609  27613  27619  27621  27625  27631  27633  27639  27645  27649  27651  27655  27661  27663  27669  27673  27675  27679  27681  27685  27687  27689  27690  27691  27693  27694  27695  27697  27699  27703  27705  27709  27711  27715  27721  27723  27729  27733  27735  27739  27745  27751  27753  27759  27763  27765  27771  27775  27781  27789  447348 

10.2002年诺贝尔化学奖获得者的贡献之一是发明了对有机分子的结构进行分析的质谱法。其方法是让极少量(10-9 g左右)的化合物通过质谱仪的离子化室使样品分子大量离子化,少量分子碎裂成更小的离子。如C2H6离子化后可得到C2H6+、C2H5+、C2H4+、……然后测定其质荷比β。设H+的质荷比为1,某有机物样品的质荷比如下图(假设离子均带一个单位正电荷,信号强度与该离子多少有关),则该有机物可能  

  A.CH3OH        B.C3H8 

C.C2H4             D.CH4

试题详情

9.下列有机物可以形成顺反异构的是

  A.2,3-二甲基-2-丁烯   B.1-氯-1-丙烯   C.2-甲基-2-丁烯   D.丙烯

试题详情

8.某同学在所收到的信封上发现有收藏价值的邮票,便将邮票剪下来浸入水中,以去掉邮票背面的黏合剂。根据“相似相溶”原理,该黏合剂的成分可能是

试题详情

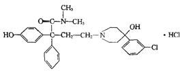
7.盐酸洛派丁胺俗称易蒙停,它是一种新型的止泻药,适用于各种急慢性腹泻的治疗,其结构简式如图:下列说法正确的是

A.易蒙停的分子式为C29H33Cl2N2O3

B.向易蒙停溶液中加入FeCl3溶液,溶液

显紫色

  C.1mol易蒙停只能与lmolNaOH发生反应

D.lmol易蒙停最多能与3mol溴水发生反应

试题详情

6.最近美国宇航局(NASA)马里诺娃博士找到了一种比二氧化碳有效104倍的“超级温室气体”-全氟丙烷(C3F8),并提出用其“温室化火星”使其成为第二个地球的计划。有关全氟丙烷的说法正确的是              

A.分子中三个碳原子可能处于同一直线上

B.全氟丙烷的电子式为:

C.相同压强下,沸点:C3F8<C3H8  

 D.全氟丙烷分子中既有极性键又有非极性键

试题详情

4.下列除去括号内杂质的有关操作方法不正确的是

A.乙烷(乙炔):通过盛溴水的洗气瓶

B.乙酸乙酯(乙醇):加入乙酸和浓硫酸的混合液,然后加热

C.苯(苯酚):加入氢氧化钠溶液,然后分液

D.乙醇(水):加入生石灰,然后蒸馏

有关三聚氰胺的说法正确的是

A.三聚氰胺属于芳香族化合物,但不属于芳香烃

B.三聚氰胺的分子式为C3N6H6

C.三聚氰胺中的碳原子属于饱和碳原子

D.三聚氰胺分子中的所有原子都在一个平面内

试题详情

3.下列关于乙烯和聚乙烯的叙述中正确的是:

A.二者都能使溴的四氯化碳溶液褪色    B.二者互为同系物

C.二者实验式相同            D.聚乙烯是乙烯的缩聚产物

试题详情

2.在下列实验中,应将温度计插入水浴中的是:                 A. 在实验室中蒸馏石油     B.由苯制硝基苯       C.由酒精制乙烯          D.由乙酸与乙醇反应制乙酸乙酯

试题详情

1.2008年北京奥运会火炬以中国传统祥云符号和纸卷轴为创意,由铝合金制成,使用的燃料为丙烷。下列说法不正确的是

 A.丙烷与甲烷互为同系物              B.通常条件下,丙烷性质稳定,不与酸、碱和氧化剂发生反应

 C.丙烷燃烧是吸热反应

  D.火炬燃料用丙烷比用煤油更环保

试题详情

34.(8分) “立方烷”是一种人工合成的烃,其分子为正方体结构,其碳架结构如图所示:

(1)“立方烷”的分子式是      ;“立方烷”有多种同分异构体,其中一种属于芳香烃的同分异构体的结构简式是         

(2)“立方烷”的二氯代物具有同分异构体的数目是   。“立方烷”的三氯代物具有同分异构体的数目是  

试题详情


同步练习册答案