题目列表(包括答案和解析)

 0  27884  27892  27898  27902  27908  27910  27914  27920  27922  27928  27934  27938  27940  27944  27950  27952  27958  27962  27964  27968  27970  27974  27976  27978  27979  27980  27982  27983  27984  27986  27988  27992  27994  27998  28000  28004  28010  28012  28018  28022  28024  28028  28034  28040  28042  28048  28052  28054  28060  28064  28070  28078  447348 

53、.北京奥运火炬的外壳主要采用高品质的铝合金材料制造,燃烧系统内装环保型燃料--丙烷。下列有关说法中正确的是

A.丙烷的沸点比丁烷的沸点高

B.丙烷燃烧时的耗氧量比等体积的其他烷烃少

C.燃料燃烧时主要是将热能转化为光能

D.铝合金制作的火炬质量轻、不易腐蚀

试题详情

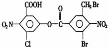
52、已知苯环上由于取代基的影响,使硝基邻位上的卤原子的反应活性增强,现有某有机物的结构简式如右图:1mol该有机物与足量的氢氧化钠溶液混合并共热,充分反应后最多可消耗氢氧化钠的物质的量为a(不考虑硝基与氢氧化钠的反应),则a是

A.5mol    B.6mol      C.7mol    D.8mol 

试题详情

51、2008 年北京奥运会主体育场的外形好似“鸟巢” ( The Bird Nest )。有一类硼烷也好似鸟巢,故称为巢式硼烷。巢式硼烷除 B10H14不与水反应外,其余均易与水反应生成氢气和硼酸,硼烷易被氧化。下图是三种巢式硼烷,有关说法正确的是

A.这类巢式硼烷的通式是 B nH n + 4

B.2B5H9 + 12O25B2O3 十9H2O ,l molB5H9完全燃烧转移25mol电子

C.8 个硼原子的巢式棚烷化学式应为 B8H10

D.硼烷与水反应是非氧化还原反应

试题详情

50.“苏丹红一号”(结构如右图所示)是一种合成染料,科学家通过经毒理学研究,发现长期食用含有苏丹红的食品对人体可能有致癌因素。下列关于“苏丹红一号”的说法中不正确的是

A.属于芳香族化合物,分子式为C16H12N2O

B.分子中的所有原子一定位于同一平面上

C.分子中苯环上的一取代物共有11种

D.能与NaOH溶液、FeCl3溶液、溴水等物质反应

试题详情

49、2005年禽流感在全球蔓延,百姓谈“禽”色变。目前通过从香料八角中提取的莽草酸制得的达菲是抗禽流感病毒特效药物。下列有关描述正确的是

A.高温、紫外线都能使禽流感病毒失去生理活性

B.莽草酸既能与H2发生加成,又能与FeCl3溶液反应显紫色

C.莽草酸、达菲都能使溴水或酸性KMnO4溶液褪色

D.1mol达菲与NaOH溶液反应,消耗NaOH的物质的量最多为4mol

试题详情

48、下列实验方案合理的是

A.鉴别集气瓶中的甲烷和乙烯:移去玻璃片,分别点燃,观察火焰的颜色及是否有黑烟

B.检验酒精中的少量水:向酒精中加入足量生石灰

C.制备氯乙烷(C2H5Cl):将乙烷和氯气的混合气放在光照条件下反应

D.除去乙烯中杂质气体:将实验室制得的乙烯气体通入NaOH 溶液

试题详情

47、将有机物的混合物在一定条件下反应:①甲醇与乙醇的混合物与浓硫酸加热得醚;②乙二醇与乙酸酯化得酯;③氨基乙酸和丙氨酸生成二肽;④苯酚和浓溴水反应。所生成的有机物的种类由多到少的顺序是

A. ①②③④    B. ④③②①    C. ③②④①    D.③①②④

试题详情

46、分子式为C4H8O3的有机物,在一定条件下具有下列性质:①在浓硫酸存在下,能分别与CH3CH2OH或CH3 COOH反应;②在浓硫酸存在下,亦能脱水生成一种只存在一种结构形式,且能使溴水褪色的物质;③在浓硫酸存在下,还能生成一种分子式为C4H6O2的五元环状化合物。根据上述性质,确定C4H8O3的结构简式为

A.HOCH2COOHCH2CH3           B.CH3CH(HO)CH2COOH 

C.CH3CH2CH(HO)COOH          D.HOCH2CH2CH2COOH

试题详情

45、由两种气态烃组成的混和烃的总物质的量与该混和烃充分燃烧后 所得气体产物(二氧化碳和水蒸气)的物质的量的变化关系如图所

示;以下对混和烃组成的判断中正确的是

A、一定有乙烯       B、一定有甲烷    

C、 一定有丙烷       D、 一定没有乙烷

试题详情

44、丙醛和另一种组成为CnH2nO的物质X的混合物3.00 g,与足量的银氨溶液作用后析出10.8 g银,则混合物中所含X不可能是

A.甲基丙醛    B.乙醛    C.丙酮    D.丁醛

试题详情


同步练习册答案