题目列表(包括答案和解析)

 0  27994  28002  28008  28012  28018  28020  28024  28030  28032  28038  28044  28048  28050  28054  28060  28062  28068  28072  28074  28078  28080  28084  28086  28088  28089  28090  28092  28093  28094  28096  28098  28102  28104  28108  28110  28114  28120  28122  28128  28132  28134  28138  28144  28150  28152  28158  28162  28164  28170  28174  28180  28188  447348 

86、既有氧化性又有还原性的物质是

A、Fe      B、FeCl2       C、FeCl3     D 、Fe2O3

试题详情

85、在中学化学的四种基本反应类型中,其中完全属于氧化还原反应的是

A、置换反应  B、分解反应      C、化合反应    D、复分解反应

试题详情

84、1962年,美国青年化学家巴特来特将PtF6和Xe按等物质的量之比在室温下混合后,首次制得含有化学键的稀有气体化合物六氟合铂酸氙:Xe + PtF6 === XePtF6 有关此反应的叙述中正确的是

A、Xe是氧化剂              B、PtF6是氧化剂 

C、PtF6 既是氧化剂又是还原剂      D、该反应是非氧化还原反应

试题详情

83、下列反应中,气体反应物只能作还原剂的是

A、将氯气通入石灰水中制漂白粉     B、将氯气通入水中

C、将氢气通入灼热的氧化铜中      D、将铜丝在氯气中点燃

试题详情

82、称取两份铝粉,第一份加足量浓氢氧化钠溶液;第二份加足量盐酸。如要放出等体积的气体(同温同压),则两份铝粉的质量比为

A、1︰2       B、1︰3    C、3︰2      D、1︰1

试题详情

81、下列有关环境问题都是由化学物质引起的,在下列组合中对应的化合物不正确的是

A、温室效应:二氧化碳   B、光化学污染:二氧化氮 

C、酸雨:二氧化碳     D、臭氧层破坏:氟氯烃

试题详情

80、化学工作者一直关注食品安全,发现有人将工业染料“苏丹红1号”非法用作食用色素。苏丹红是一系列人工合成染料,其中“苏丹红4号”的结构式如下:下列关于“苏丹红4号”说法正确的是(    )

A、不能发生加成反应        B、属于芳香烃

C、可以使酸性高锰酸钾溶液褪色   D、属于脂肪烃

试题详情

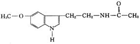
79、脑白金中主要成分的结构简式为下列对脑白金主要成分的推断错误的是(     )

A、其分子式为C13H16N2O2      B、该物质属于蛋白质

C、该物质是烃的衍生物      D、它能水解得到乙酸

试题详情

78、第28届国际地质大会提供的资料显示,海底有大量的天然气水合物,可满足人类  1000年的能源需要。天然气水合物是一种晶体,晶体中平均每46个水分子构建成8个笼,每个笼可容纳1个CH4分子或1个游离H2O分子。若晶体中每8个笼只有6个容纳了CH4分子,另外2个笼被游离H2O分子填充,则天然气水合物的平均组成可表示为    (     )

A、CH4·14H2O   B、CH4·8H2O  C、  CH4·(23/3)H2O   D 、CH4·6H2O

试题详情

77、在四个不同的容器中,在不同的条件下进行合成氨反应(N2+3H2  2NH3),根据下列在相同时间内测得的结果判断,生成氨的反应速度最快的是              

A、V(NH3) = 0.3 mol/(L﹒min)         B、V(N2) = 0.1 mol/(L﹒min)

C、V(N2) = 0.2 mol/(L﹒min)         D、V(H2) = 0.4mol/(L﹒min)

试题详情


同步练习册答案