题目列表(包括答案和解析)

 0  362872  362880  362886  362890  362896  362898  362902  362908  362910  362916  362922  362926  362928  362932  362938  362940  362946  362950  362952  362956  362958  362962  362964  362966  362967  362968  362970  362971  362972  362974  362976  362980  362982  362986  362988  362992  362998  363000  363006  363010  363012  363016  363022  363028  363030  363036  363040  363042  363048  363052  363058  363066  447348 

20.(2009·长沙一中、雅礼中学高三2月联考)持有三鹿43%股份的新西兰乳业巨头恒天然2008年11月27日发生人事地震,在合作社的股东质疑下,一名董事连任失败。恒天然同时透露,由于三聚氰胺事件,投资在三鹿中的全部2亿新西兰元(1.2亿美元)已经损失殆尽。这表明                  (  )

A.商品生产者和经营者必须根据市场决定生产和经营

B.商品生产者必须重视产品质量

C.竞争会导致商品生产者优胜劣汰

D.价值是价格的基础

答案  B

2008年联考题

试题详情

19.(2009·武汉高三2月调研)货币在社会经济生活中起着重要作用。下列活动中货币执行其基本职能的是(  )

①商场中某一品牌上衣标价l00元  ②某人购买一件衣服当场支付100元人民币  ③某职工上缴个人所得税60元人民币  ④某国向另一国提供500万美元的国际援助

A.①②         B.①④        C.②③        D.②④

答案  A

试题详情

18.(2009·黄冈高三3月质检)某商品价格为30元,若该商品的社会劳动生产率提高50%,且人民币汇率升10%,在其他条件不变的情况下,该商品的价格是                          (  )

A.18.18        B.18         C.22         D.18.5

答案  A

试题详情

17.(2009·黄冈高三期末)由于美元持续贬值、通货膨胀率上升、全求信贷紧缩,国际投资者增持黄金,推动黄金价格上涨。2008年1月11日金价突破每盎司900美元,黄金之所以受到投资者的青睐是因为黄金可以充当                                             (  )

A.世界货币       B.流通手段      C.贮藏手段      D.价值尺度

答案  C

试题详情

16.(2009·黄冈高三期末)为纪念2008年北京奥运会,中国人民银行面向全球发行了一整套奥运纪念币,纪念币上市以来,由于具有较大的升值潜力,受到许多奥运爱好者和收藏家们的积极追捧,收藏价格几度上涨。对中国人民银行来说,发行奥运纪念币                              (  )

①实现了其价值  ②实现了其使用价值  ③出让了其价值  ④出让了其使用价值

A.①③         B.②③        C.①④        D.②④

答案  C

试题详情

15.(2009·黄冈高三期末)石头花享有“有生命的石头”的美称。陈设案头,令人叹为观止。石头花属于稀有花卉,培育要求又高,一棵价格上百美元。石头花的价格如此之高,主要是因为           (  )

  ①栽培石头花所耗费的社会必要劳动时间多  ②石头花在市场上供应量比较少  ③石头花与其他花卉相比对人们来说更有用  ④石头花的欣赏价值高于其他花卉

A.①②         B.①③④       C.①②③       D.②③

答案  A

试题详情

14.(2009·唐山一模)大灾大难面前,中国人民众志成城,纷纷捐款捐物。从经济学角度看,

人民所捐的“物”(  )

A.具有价值,因为它具有满足人们需要的属性

B.没有使用价值,因为它不是受灾群众劳动生产的

C.没有价值,因为它没有用来交换

D.没有价值,因为爱心无价

答案  C

试题详情

13.(2009·石家庄质检一)某国2007年生产M商品5亿件,其价值总额用该国货币表示为50亿元。如果2008年从事M商品生产的劳动者数量增加10%,社会劳动生产率提高20%,其他条件不变,则2008年M商品的价值总额用货币表示为

A.55亿元        B.60亿元       C.250亿元      D.44亿元

答案  A

试题详情

12.(2009·石家庄质检二)目前,我国部分地区猪肉价格较去年同期有明显的回落。生猪价格下降有两个主要原因:一是在市场价格价格明显拉动和政府政策双重作用下,生产能力正在稳步恢复,供给量明显增多;二是由于市民肉类消费结构的调整,市场需求没有有效增长。这表明                   (  )

A.生产为消费创造动力            B.国家政策在资源配置中起基础作用

C.供求关系影响商品的价格          D.物价水平是影响家庭消费的重要因素

答案  C

试题详情

(湖北省宜昌市2009-2010学年三月联考试卷)海地当地时间2010年1月12日下午发生了里氏7.3级大地震,造成重大人员伤亡和财产损失。回答10-11题。

10、2010年1月15日,中国政府宣布向海地提供价值三千万元人民币人道主义救灾物资,运送第一批九十吨救灾物资的两架包机于北京时间十六日飞赴海地首都太子港。这里的“救灾物资”

A.是商品,因为它是劳动产品         B.是商品,因为它是供人们消费的

C.不是商品,因为它不具有使用价值和价值   D.不是商品,因为它没有用于交换

答案  D

11、地震导致太子港物价全面上涨,饮水、汽油、电话卡的价格都破了当地最高记录,其中一个重要原因是太子港本身缺乏物资而又涌进了大批携带美金的外国救援队伍。这表明

①供给会影响价格            ②需求对价格产生重大影响

③“物以稀为贵”,出现了买方市场     ④“物以稀为贵”,出现了卖方市场

A.①②      B.③④      C.①②③     D.①②④

答案  D

题组二

一选择题

1.(2010届衡阳市八中第五次月考) 2009年6月26日,央行公布《中国金融稳定报告(2009)》。《报告》指出,为避免主权信用货币作为储备货币的内在缺陷,需要创造一种与主权国家脱钩、并能保持币值长期稳定的国际储备货币,充分发挥特别提款权(SDR)的作用,由IMF集中管理成员国的部分储备,增强国际社会应对危机、维护国际货币金融体系稳定的能力。这里的“超主权储备货币”可以发挥的作用是

   ①价值尺度   ②流通手段  ③贮藏手段   ④支付手段  ⑤世界货币

A.①②④          B.②④⑤          C.③④⑤        D.①④⑤

答案  B

2.(2010届衡阳市八中第五次月考)假如国际市场某商品单价从60美元涨到90美元,同期人民币对美元的汇率从8:1变为7:1。在不考虑其他因素的前提下,如果用人民币购买该商品,该商品价格

A.约降了14.3%   B.涨了31.25%   C.约涨了14.3%   D.涨了50%

答案  B

3.(2010届福建省福州八中第三次质检)国家统计局2009年12月10日发布的数据显示,2009年11月份我国居民消费价格指数(CPI)开始“转正”。在其他条件不变的前提下,CPI指数上升可能会

   ①物价上涨,降低居民购买力  ②刺激企业提高劳动生产率  ③急剧降低人们消费水平  ④促使企业提高商品的价值量

   A.①②       B.①④       C.②④        D.②③

答案  C

4(2010届福建省福州八中第三次质检)瑞典皇家科学院宣布,将2009年诺贝尔经济学奖授予两位美国经济学家埃莉诺·奥斯特罗姆和奥利弗·威廉森,以表彰他们在经济管理分析方面所作的贡献。两名经济学家获奖,实际上是把诺贝尔经济学奖颁给了“制度经济学”。

今年诺贝尔经济学奖颁发目的,在于引导经济学家们针对全球金融危机暴露出的问题加强制度的研究,重新反思和定位市场与政府间的关系。在社会主义市场经济条件下,关于政府与市场的关系应该是

   A.限制市场的作用,扩大政府的职责功能  

   B.加强政府宏观调控,弥补市场调节不足

   C.限制政府的作用,充分发挥市场的作用  

   D.政府主要运用强制性的指示来调节经济

答案  B

5.(2010届湖南省衡阳市三校12月联考)中国人民银行计划在2010年发行新版人民币,纸币是由国家(或地区)发行并强制使用的价值符号。关于纸币的说法正确的是:

① 在一定时期内发行多少纸币是由国家决定的 ② 纸币的面值(如1元、10元、100元)是由国家决定的 ③ 每种面值的纸币各发行多少是由国家决定的 ④ 在一定条件下,国家可以规定纸币的实际购买力    A.①②③       B.①②④        C.①③④       D.①②③④

答案 A

6.(2010届湖南省衡阳市三校12月联考)随着金融危机对各国经济的影响加深,国际贸易保护主义开始抬头。最近一段时期,在国际市场上素以“价廉物美”著称的中国出口产品,频频被一些国家扣上低价倾销的帽子并受到反倾销调查或制裁。对此,我国企业除了要积极应对,利用世贸规则维护自身的合法权益外,还应该:

①制定正确的经营战略,面向市场调整产品结构  ②依靠科技,提高产品的质量和附加值  ③加强管理,降低成本,形成价格优势  ④转变发展方式,增强市场竞争力和抗风险能力

A.①②③   B.①②④   C.②③④   D.①②③④

答案 B

7. (2010届湖南省衡阳市三校12月联考)新《食品安全法》已获高票通过,2009年6月1日起实施。根据该法,今后明星在代言食品时出了安全问题,要负“连带责任”。这表明:

①市场调节具有自发性  ②市场调节具有滞后性 

③市场经济具有法制性  ④市场调节具有盲目性 

A.①②      B.②③      C.③④     D.①③

答案  D

8. (2010届湖南省衡阳市三校12月联考)2009年7月30日,商务部、国家发改委等九部委在京联合召开电视电话会议,决定从今年8月至2010年2月,在全国范围内开展打击借“家电下乡”等名义制售假劣产品专项整治。之所以整治假劣产品是因为:

①假劣产品不具备商品应有的使用价值 ②整治假劣产品可以维护消费者的合法权益 ③整治假劣产品是建立良好市场秩序的必然要求 ④整治假劣产品可以提高本行业的劳动生产率

A.①③④     B.①②③     C.①②④     D.②③④

答案  B

9. (2010届湖南省衡阳市三校12月联考)中国2010年上海世界博览会,将于 2010年5月1日- 10月31日举办,上海世博会的门票为:平日普通票价格为160元人民币、指定日普通票价格为200元人民币、指定日优惠票价格为120元人民币、平日优惠票价格为100元人民币、夜间票价格为90元人民币等不同档次,货币在门票定价中

①执行价值尺度职能  ②是观念中的货币  ③执行流通手段职能  ④是现实的货币 

A.①④       B.③④       C.①②        D.②③

答案  C

10. (2010届湖南省衡阳市三校12月联考)2009年10月12日,国务院总理温家宝主持召开国务院常务会议,分析农业生产形势,研究部署做好秋冬种工作。会议决定,明年小麦各品种最低收购价每市斤均提高3分钱,其中,白小麦每市斤提高到0.9元,红麦和混合麦每市斤提高到0.86元。同时适当提高稻谷特别是优质稻最低收购价格。上述做法

①有利于扩大农村小麦的生产规模  ②说明小麦生产供不应求  ③说明价格是调节供求关系和实现资源合理配置的重要机制  ④说明商品价格主要是由国家决定

A.①②     B.②④       C.③④        D.①③

答案  D

11.(2010届广东省广州四十二中高三12月月考)中国人民银行授权中国外汇交易中心公布,2009年10月12日银行间外汇市场美元对人民币汇率中间价为l美元兑换人民币6.8275元,2008年1月28日为1美元兑换人民币7.1996元。上述汇率变化有利于:

①我国出口贸易的发展     ②我国进口贸易的发展

③我国对外投资的增加     ④吸引外商在我国投资

A.①②       B.①③       C.②③       D.③④

答案  C

12.(2010届广东省广州四十二中高三12月月考)2009年10月12日,国务院总理温家宝主持召开国务院常务会议,分析农业生产形势,研究部署做好秋冬种工作。会议决定,明年小麦各品种最低收购价每市斤均提高3分钱,其中,白小麦每市斤提高到0.9元,红麦和混合麦每市斤提高到0.86元。同时适当提高稻谷特别是优质稻最低收购价格。上述做法:

①有利于扩大农村小麦的生产规模  ②说明小麦生产供不应求  ③说明价格是调节供求关系和实现资源合理配置的重要机制  ④说明商品价格主要是由国家决定

A.①②      B.②④       C.③④        D.①③

答案 D

13.(2010届广东省广州四十二中高三12月月考)实行塑料袋有偿使用后,某班同学对一超市塑料袋的使用情况进行了调查,发现塑料袋的使用量有较大幅度的下降,人们都改用布袋子来购物。这一现象可以得出的结论有:

①商品的需求量受该商品价格的影响      ②一商品的价格上升,该商品互补品的需求量上升

③一商品的价格上升,该商品替代品的需求量下降   ④一商品的价格上升,该商品替代品的需求量上升

   A.①②      B.①③      C.①④       D.②③

答案  C

14、(江西省省重点学校2010届高三联考试卷)新余市某企业2009年生产A产品5万件,其价格总额为500万。该企业生产A产品耗费的劳动时间为同类产品社会必要劳动时间的80%,经过市场调查,该企业打算2010年主动减少A产品20%的产量,与此同时采取各种手段提高劳动效率20%并主动降价10%。在其他条件不变的情况下,该企业2010年生产A产品的价格总额将比2009年少(   )

A.140万    B、20万    C.68万    D.120万

答案 A

国民收入(100单位)
物质构成
生产资料(40)
价值形式
积累基
金构成
(1)60
(2)20
消费资料(60)
消费基
金构成
(1)40
(2)80

15、(江西省省重点学校2010届高三联考试卷)江西省省重点学校2010届高三联考试卷下列对表格内容认识正确的是(   )

①如果出现表中(1)的情形,会导致生产资料价格上涨,消费品积压

②如果出现表中(1)的情形,会导致生活资料供不应求,物价上涨

③如果出现表中(2)的情形,会减缓国民经济增长速度

④如果出现表中(2)的情形,消费资料会供过于求 A.①②    B、③④    C.①③    D.②④

答案  C

二非选择题

1.(2010届湖南省宁乡一中高三上学期期末调研)在丹麦哥本哈根气候变化大会举行期间,某中学时事学习课题组就“全球共同应对世界气候变化问题”展开了探究性学习。

探究一:2009年11月25日召开的国务院常务会议认为,气候变化,事关我国经济社会发展全局和人民群众根本利益,事关各国人民的福祉和长远发展。为此,会议决定,我国控制温室气体排放行动目标是,到2020年我国单位国内生产总值二氧化碳排放比2005年下降40%-45%,到2020年我国非化石能源占一次能源消费的比重达到15%左右;通过植树造林和加强森林管理,森林面积比2005年增加4000万公顷,森林蓄积量比2005年增加13亿立方米。这是我国根据国情采取的自主行动,是我国为全球应对气候变化做出的巨大努力。

(1)运用《经济生活》知识回答,为实现我国控制温室气体排放行动目标,你认为应采取哪些经济措施?(12分)

探究二:气候变化问题关系各国发展和人类生存,需要全球合作应对。中国作为负责任的发展中国家,主张通过切实有效的国际合作,共同应对气候变化。

(2)运用《政治生活》知识回答,为什么我国要与国际社会一道,共同应对全球气候变化?(10分)

探究三:全球气候变暖是一种“自然现象”。进入上世纪80年代后,全球气温明显上升。全球气候变暖的后果,会使地球冰川和冻土消融,海平面上升等,既危害自然生态系统的平衡,更威胁人类的食物供应和居住环境。对此,人类对全球气候变暖问题重要性的认识经历了长期的探索过程:气候变化问题最初是作为环境问题而由科学家讨论的;到了上世纪70-80年代,有人开始将环境、气候变化与外交和安全等问题联系起来,气候变化问题才引起了大众关注,上升为国家安全和外交政策问题;至上世纪90年代,全球气候变化已经成为国际关系、经济发展、环境与资源、能源、科技研发等领域内举世瞩目的重大战略性问题;2009年12月,在丹麦哥本哈根气候变化大会上,就应对气候变化通过了《哥本哈根协议》,达成了广泛共识,取得了重要而积极的成果。

(3)结合对“气候变化问题重要性”的认识,说明人类是怎样追求和发展真理的?(12分)

1.(1)落实控制温室气体排放行动目标:①要贯彻落实科学发展观,坚持生态良好的文明发展道路,统筹人与自然的和谐发展。   ②综合运用经济、法律和 必 要的行政手段加强宏观调控,加大财政应对气候变化科技研发投入,优化资源配置;认真落实节能减排责任制,努力实现节能减排目标。   ③提高自主创新能力,广泛采取节能技术。促进经济增长由主要依靠增加物质资源消耗向主要依靠科技进步转变,抑制高耗能产业,提高能源利用率。  ④加快转变经济发展方式、推动产业结构优化升级。走中国特色新型工业化道路,形成节约能源资源和保护生态环境的产业结构和增长方式,建设生态文明。   ⑤加强能源资源节约和生态环境保护,增强可持续发展能力。积极参与资源节约型、环境友好型社会的建设。   ⑥加强国际合作,有效引进、消化、吸收国外先进的低碳和气候友好技术,提高应对气候变化的能力。   ⑦公民要树立保护环境,绿色消费的消费观。发挥消费对生产的反作用,积极培养低碳绿色的生活方式和消费模式。做到节约资源,减少污染,绿色生活,环保选购;重复使用,多次利用;分类回收,循环再生;保护自然。   ⑧发展循环经济,发展节能型产业,改善能源结构,发展优质能源,促进新能源和再生能源的开发利用,推广清洁能源。加强对节能、提高能效、洁净煤、可再生能源、先进核能、碳捕集利用与封存等低碳和零碳技术的研发和产业化投入,加快建设以低碳为特征的工业、建筑和交通体系。(从任一角度答4点,每点3分,共12分)

(2)①国家利益是国际关系的决定因素。国家间的共同利益是国家合作的基础,而利益对立是引起国家冲突的根源。地球是我们共同的家园,我国与国际社会一道,共同应对全球气候变化是由我国与世界各国存在的共同利益决定的,这既在维护我国的经济利益;也是尊重其它国家正当的国家利益,维护各国人民的共同利益。(4分)   ②我国外交政策的宗旨是维护世界和平,促进共同发展。和平与发展是当今时代的主题。和平是发展的前提,发展是和平的重要基础。我国与国际社会一道,共同应对全球气候变化,有利于用和平的方式解决发展问题。(3分)    ③维护国际和平与安全,促进国际合作与发展是联合国的宗旨。中国一贯遵循联合国宪章的宗旨和原则,支持按联合国宪章精神所进行的各项工作,积极参加联合国及其专门机构有利于世界和平与发展的活动。因此,我国应在保护环境、应对全球气候变化等全球性问题上发挥重要作用,对世界和平与发展作出重要贡献。(3分)

(3)①对全球气候变暖自然现象的认识由科学家讨论到哥本哈根会议达成有关共识,这是人类对全球气候变暖现象及其规律的正确反映,是真理,它来源于人类社会生活的实践,说明追求和发展真理以实践为基础。②真理是具体的有条件的,真理和谬误往往是相伴而行的。全球气候变暖首先由科学家讨论,到上升为重大战略性问题,再到哥本哈根气候大会达成《哥本哈根协议》,取得广泛共识,这是一个在不同观点争鸣中不断克服谬误,逐步接近真理的过程。③认识具有反复性和无限性,人类对气候变化问题重要性的认识不是一次完成的,而是在实践和认识的循环往复中获得的,说明真理是不断向前发展的,追求真理是一个过程。④在实践中认识和发现真理,在实践中检验和发展真理,是我们的不懈追求和永恒的使命。随着实践的继续发展和科学技术水平的不断提高,人们对气候变化问题将越来越重视,世界各国将加强协调配合,采取具体实践行动,维护人类共同利益,为应对气候变化作出贡献。(任答3点,每点4分,共12分)

2.(2010届北京市东城区高三期末教学目标检测)(7分)表中材料反映了2009年大蒜价格变动的多方面经济关系,概括材料中体现的经济学道理。

材   料
经济学道理
示例  2008年大蒜种植面积下降,直接导致了今年的大蒜产量急剧下降,在很大程度上推高了大蒜的价格。
供给影响价格
材料一  民众普遍认为大蒜能够杀菌、提高身体免疫力,甚至能够避免感染甲流,这对大蒜价格的上扬起到了推波助澜的作用。

(请勿在此答题)
材料二  大蒜价格上涨,经销商们获得暴利,不少外行人也眼热起来,纷纷加入大蒜交易的行列。

(请勿在此答题)
材料三看到今年大蒜价格喜人,很多蒜农已经在扩大大蒜的种植面积,仅金乡一个县的种植面积就将扩大10%。

(请勿在此答题)

2.(7分)

①消费心理影响需求、需求影响价格。(3分)

②市场调节具有自发性、盲目性。(2分)

③价格变动调节生产规模。(2分)

3.(2010届福建省“四地六校”高三上学期第三次联考)(12分)最近,被网民称为“娃娃村官”、“中国乡村奥巴马”的白一彤,以高票当选清涧县高杰镇高杰村村委会主任而引起了同龄青年人的热议,迅速成为舆论关注的焦点。

19岁的白一彤是安康学院二年级女学生,在选举中,白一彤在选举现场先是表演了古筝演奏,然后发表题为《打造黄河岸边第一村》的竞选演讲。她表示在几年内带领父老乡亲做好10件大事,其中包括建一个综合服务大楼、一所新型合作医疗所、修建一条环山公路、打深井解决群众吃水难问题。发展红枣加工业,建设红枣加工厂,解决枣农秋季多雨形成烂枣受损的问题。发展养殖业,增加农户收入。办农民科技培训学校,建设新型农村现代化的教育基地。

白一彤当选后,组织了村里的农民运动会,开始了环山公路的修建、村道上添置了果皮箱,路灯也亮了起来…村里的面貌得到了改善

现在请你探究:

⑴从经济生活的角度分析白一彤的想法是否正确?为什么?(6分)

⑵白一彤的成功就业事例给大学生就业有什么启示?(6分)

3.(1)正确。

①因为商品是使用价值和价值的统一,商品只有实现交换才能实现其价值,白一彤组织村民修路解决红枣难卖的难题,就说明了这个道理。(2分)

②价格由价值决定,发展红枣加工业能提高红枣的附加值,促进农民增收。白一彤提出的发展养殖业、红枣加工业、旅游业等思路体现了这一点,有利于当地村民脱贫致富。(2分)

③科技创新和科学管理以及经营者、劳动者素质的提高是农业和农村发展的成功经营战略,白一彤考虑到对村民的科技培训、办好现代化的教育基地就是很好的经营战略,这是村民脱贫致富的根本途径。(2分)

(如学生答到“建立新型合作医疗所”体现了正确解决效率与公平关系给2分)

⑵启示:①要树立正确的就业观念,树立自主择业观、竞争就业观、职业平等观和多种方式就业观。白一彤甘当“村官”,下到农村基层帮助我国农业发展,农村进步,就体现了树立正确的就业观念。(2分)

②要提高自身的素养和职业技能。良好的政治思想素养、高尚的道德品质、丰富的专业知识、综合性知识和技能等,是白一彤成功就业的原因。因此大学生要就业必须提高自身的素养和职业技能。(2分)

③要积极转变就业观念。白一彤的例子告诉我们要积极转变就业观念,学会作出适合自己的职业选择。可以考虑到农村基层去帮助我国农业发展;也可以考虑到西部去,帮助祖国的西部建设,为祖国早日实现共同富裕的目标贡献自己的力量,也可以顺利实现自己的人生价值。(2分)

2009年联考题

1.(2009·北京东城期末检测)据国家统计局发布的信息,11月份,居民消费价格总水平(CPI)同比上涨2.4%,涨幅连续七个月回落。从2月份CPI同比上涨8.7%,到11月回落到2.4%,今年的物价曲线犹如过山车。引起居民消费价格总水平回落的原因有                                  (   )

①政府出台促进生产发展措施、保障市场供给  ②国家决定2008年对粮食征收出口暂定关税  ③国际市场大宗商品价格回落,对市场的传导作用  ④中央银行多次降低存贷款利率,流通中货币增加

A.①②③        B.①②④       C.①③④       D.②③④

答案  A

2.(2009·北京东城期末检测)“三鹿牌婴幼儿配方奶粉”事件是一起重大食品安全事件。党中央、国务院迅速启动了国家重大食品安全事故1级响应机制,成立应急处置领导小组。 “三鹿奶粉”事件发生后,三鹿集团轰然坍塌,这再一次说明产品的质量是企业的生命!企业要重视商品质量的经济学依据是      (   )

A.企业是市场经济活动的主要参加者,是国民经济的细胞

B.质量好的商品价格高,质量决定商品的价格

C.商品的使用价值是价值的物质承担者

D.企业生产的目的是为了满足消费者的需要

答案  C

3.(2009·北京崇文期末检测)近日央行发布的货币政策执行报告指出,我国目前的通胀压力已经得到缓解,但是通货紧缩的端倪开始显现。我国政府防止通货紧缩可以采取的对策是              (  )

①提高城乡居民收入,健全社会保障制度  ②调整供给结构,扩大有效需求,促进消费市场发展  ③鼓励民间投资,促进非公经济发展  ④扩大信贷发放的规模和范围

 A.①②③       B.①②④       C.①③④       D.①②③④

答案  D

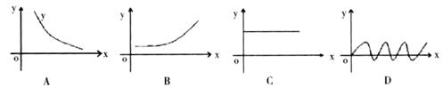
  4.(2009·北京崇文期末检测)下列图象中X轴表示个别劳动生产率,Y轴表示商品的价值总量,其中正确反映两者关系的是                                       (  )

答案  B

5.(2009·北京石景山期末检测)参与新浪网上在线调查的28万多人中,超过93%的网民表示,不会再购买事件相关品牌的奶粉,“问题奶粉”迫使中国奶业重视产品质量。企业重视产品质量是因为       (  )

A.质量好需求量就大             B.质量高经济效益就好

C.质量高决定价格高             D.使用价值是价值的物质承担者

答案  D

6.(2009·北京宣武期末检测)在现代经济中,一涉及商品,就离不开货币。人们几乎每天都同货币打交道。在商店和银行的柜台上,各种面值的货币,随处可见。各种商品都要用货币去购买。1)日新月异的高科技,特别是计算机技术、通信技术、半导体产业和信息网络的迅猛发展,引起了货币发展史上的重大变革。货币的发展大体上经历了                                      (  )

  A.货币--纸币--信用货币--信用卡    B.货币--纸币--信用货币--电子货币

  C.实物--货币--信用卡--电子货币    D.实物--货币--纸币--电子货币

答案  B

7.(2009·北京宣武期末检测)为应对金融危机,缓解资金链条紧张的局面,商务部于2008年11月下发扩大消费的指导意见,提出要扩大赊购赊销,改善支付环境,促进信用消费。在赊购赊销过程中,货币执行的职能是                                            (  )

  A.价值尺度       B.流通手段      C.支付手段      D.世界货币

答案  C

8.(2009·北京宣武期末检测)在商品-货币-商品的流通过程中,“商品--货币” 阶段的变化既重要又困难,“是商品惊险的跳跃”。这个跳跃如果不能成功,摔坏的不是商品,而是商品的所有者。这句话说明    (  )

  ①商品必须通过货币才能交换  ②实现商品价值对生产者至关重要  ③拥有货币比拥有商品更重要  ④质量与需求是生产者的生存之基

  A.①②         B.①③        C.②④        D.③④

答案  C

 9.(2009·北京宣武期末检测)劳动生产率就是劳动者的生产效率。劳动生产率有个别劳动生产率和社会劳动生产率之分。4)生产某种商品的个别企业提高了劳动生产率,会带来               (  )

  A.单位商品的价值量降低           B.单位商品的社会必要劳动时间下降

  C.单位商品的价值量增加           D.一定时间内创造的价值总量增加

答案  D

10.(2009·北京丰台期末检测)某村,农民种粮食效益不高,改种鲜花,不仅收益高,而且村子还成为游人如织的景点,好景不长,游人减少。经市场调查得知,因村里环境差。农民不解:有山,有水,四季鲜花,凭什么说环境差。后经专家指点,他们才明白,种花只是改变了一种作物,并没有改变生活习惯,只有改变村里生态环境,才会长期吸引游客。该村旅游生意冷清,农民不是找领导,而是进行市场调查。这说明该村农民(  )

①能够按价格规律办事  ②知道市场经济不同于计划经济  ③能够克服市场的盲目性  ④明白产品服务质量的重要性

A.①②③        B.①③④       C.①③④       D.①②④

答案  D

11.(2009·北京朝阳期末检测)通过上图,我们可知黄金价格一年来有升有降,引起这种变化的因素可能有(  )

①投资者的心理  ②美元汇率的变化  ③黄金供求关系的变化  ④生产黄金的个别劳动生产率提高

A.①③         B.③④        C.①②③       D.①③④

答案  C

试题详情


同步练习册答案