题目列表(包括答案和解析)

 0  58047  58055  58061  58065  58071  58073  58077  58083  58085  58091  58097  58101  58103  58107  58113  58115  58121  58125  58127  58131  58133  58137  58139  58141  58142  58143  58145  58146  58147  58149  58151  58155  58157  58161  58163  58167  58173  58175  58181  58185  58187  58191  58197  58203  58205  58211  58215  58217  58223  58227  58233  58241  447348 

10. 把下面的算式分一分.

3+9    4+7    8+5    6+7    5+6

6+6   9+4    9+2    3+8    4+8

5+8   8+4    6+5    4+9    7+5

 

试题详情

9. 写出9个得数是14的加法算式.

___________ ____________ _______________

___________ ____________ _______________

___________ ____________ _______________ 

试题详情

8.  8+(  )=14  ( )+2=11  ( )+7=15  9+(  )=16 

试题详情

7.  8+( )=12  (  )+5=11  7+( )=13  6+( )=12 

试题详情

6. 写出和左边得数相等的式子.

 

试题详情

5. 写出和左边得数相等的式子.

 

试题详情

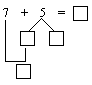
4.  

试题详情

3.  

试题详情

2.  

试题详情

1.  

试题详情


同步练习册答案