题目列表(包括答案和解析)

 0  63163  63171  63177  63181  63187  63189  63193  63199  63201  63207  63213  63217  63219  63223  63229  63231  63237  63241  63243  63247  63249  63253  63255  63257  63258  63259  63261  63262  63263  63265  63267  63271  63273  63277  63279  63283  63289  63291  63297  63301  63303  63307  63313  63319  63321  63327  63331  63333  63339  63343  63349  63357  447348 

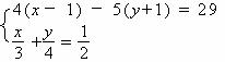
3、解方程组   4、解不等式组等式组

试题详情

2、如图所示,请填写下列证明中的推理依据.              

证明:∵∠A=∠C(已知),

∴AB∥CD(_____________    ______)    

∴∠ABO=∠CDO(_________________________)           

又∵DF平分∠CDO,BE平分∠ABO(已知)              

∴∠1=∠CDO,∠2=∠ABO(_________________________)

∴∠1=∠2,∴DF∥BE(_____________________________________________)

试题详情

1、用计算器探索:  ①_________ ;②__________;  ③_____________;由此猜想:      

试题详情

11、下列等式中,错误的是(   )

  A、   B、   C、   D、

试题详情

10、某班举办了一次集邮展览,展出的邮票若每人3张,则多24张,若每人4张,则少26张,这个班共展出邮票张数是:

  A、174     B、178     C、168     D、164

试题详情

9、不等式的解为,则的取值范围是(   )

A、    B、    C 、    D、

试题详情

8、三角形的三边的长度分别是3cm,  x cm和7cm,则x的取值范围是(     )

A.    B.4<x<10    C.4>x<10   D.

试题详情

7、一个正方形在平面直角坐标系中三个顶点的坐标为(-2,-3),(-2,1),(2,1),则第四个顶点的坐标为(   )

  A、(2,2)     B、(3,2)     C、(2,-3)     D、(2,3)

试题详情

6、已知点M(3a-9,1-a)在第三象限,且它的坐标都是整数,则a=(   )

   A.1    B.2     C.3    D.O

试题详情

5、下列说法中错误的个数是(   )

  (1)过一点有且只有一条直线与已知直线平行。

  (2)过一点有且只有一条直线与已知直线垂直。

  (3)在同一平面内,两条直线的位置关系只有相交、平行两种。

  (4)不相交的两条直线叫做平行线。

  (5)有公共顶点且有一条公共边的两个角互为邻补角。

  A. 1个    B. 2个    C. 3个    D. 4个

试题详情


同步练习册答案