题目列表(包括答案和解析)

 0  65105  65113  65119  65123  65129  65131  65135  65141  65143  65149  65155  65159  65161  65165  65171  65173  65179  65183  65185  65189  65191  65195  65197  65199  65200  65201  65203  65204  65205  65207  65209  65213  65215  65219  65221  65225  65231  65233  65239  65243  65245  65249  65255  65261  65263  65269  65273  65275  65281  65285  65291  65299  447348 

4、以零为其解的方程为()

A、0.3 x-4=5.7x+1 B、1-{3x-[(4x+2)-3]}=0

C、 D、x2-2x+1=0

试题详情

3、关于x的方程3x+a=5x-1的解为整数解的条件是()

A、a=2n(n为整数) B、a=2n(n为有理数)

C、a=2n-1(n为整数) D、a=2n-1(n为有理数)

试题详情

2、abx=1是关于x的最简方程,那么a、b满足条件( )

A、a≠0,b=0 B、a≠0,b≠0 C、a=0,b≠0 D、a、b中至少有一为零

试题详情

1、下列各方程中,一元一次方程是( )

A、x+3=2x-4 B、2x+y=3-x

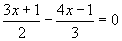
C、2x2+x-1=(x-1)2 D、

试题详情

8、已知x的与x的2倍的和比x的3倍少5,列出关于x的方程是_______,解这

个方程,得x=_______。

试题详情

7、已知是方程2x-2k+1=5x+4k-2的解,则k=_______。

试题详情

6、要使代数式相等,x必须等于_______。

试题详情

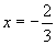
5、在等式b=a+(n-1)d中,已知a=1,d=-3,b=-8,则n=_______。

试题详情

4、若2m2n3x-1与0.5m2n2x+2是同类项,则x=_______。

试题详情


同步练习册答案