题目列表(包括答案和解析)

 0  66202  66210  66216  66220  66226  66228  66232  66238  66240  66246  66252  66256  66258  66262  66268  66270  66276  66280  66282  66286  66288  66292  66294  66296  66297  66298  66300  66301  66302  66304  66306  66310  66312  66316  66318  66322  66328  66330  66336  66340  66342  66346  66352  66358  66360  66366  66370  66372  66378  66382  66388  66396  447348 

2、在方程3x-ay=8中,如果是它的一个解,那么a的值为      .

试题详情

1、把方程2x-y-5=0化成含y的代数式表示x的形式:x=       

试题详情

23、附加题:(10分)

小明在拼图时,发现8个一样大小的长方形,如图(1)所示,恰好可以拼成一个大的矩形。

     

小红看见了,说:“我来试一试,”结果小红七拼八凑,拼成如图(2)那样的正方形,咳!怎么中间还留下了一个洞,恰好是边长为2mm的小正方形!你能帮他们解开其中的奥秘吗?(提示:能求出小长方形的长和宽吗?)

试题详情

22、某商场计划拨款9万元从厂家购进50台电视机.已知该厂家生产三种不同型号的电视机,出厂价分别为甲种每台1500元,乙种每台2100元,丙种每台2500元.(13分)

  (1)若商场同时购进其中两种不同型号电视机共50台,用去9万元,请你研究一下商场的进货方案;

   (2)若商场销售一台甲种电视机可获利150元,销售一台乙种电视机可获利200元,销售一台丙种电视机可获利250元.在同时购进两种不同型号电视机的方案中,为使销售时获利最多,你选择哪种进货方案?  

(3) 若商场准备用9万元同时购进三种不同型号的电视机50台,请你没计进货方案.

试题详情

21、有两种药水,一种浓度为60%,另一种浓度为90%,现要配制浓度为70%的药水300克,问每种各需多少克?

试题详情

20、二元一次方程组的解互为相反数,求m的值.(8)

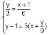
试题详情

18、             

 19

试题详情

17、

试题详情

16、

试题详情

15、甲、乙两人分别从相距s千米的两地同时出发,若同向而行,则t1小时后,快者追上慢者;若相向而行,t2小时后,两人相遇,那么快者速度是慢者速度的(   )

A、 倍     B、 倍   C、 倍     D、

试题详情


同步练习册答案