题目列表(包括答案和解析)

 0  69938  69946  69952  69956  69962  69964  69968  69974  69976  69982  69988  69992  69994  69998  70004  70006  70012  70016  70018  70022  70024  70028  70030  70032  70033  70034  70036  70037  70038  70040  70042  70046  70048  70052  70054  70058  70064  70066  70072  70076  70078  70082  70088  70094  70096  70102  70106  70108  70114  70118  70124  70132  447348 

1、  已知二元一次方程时,y=   

试题详情

23、代数式ax+by,当x=5,y=2时,它的值是7;当x=3,y=1时,它的值是4,试求x=7,y=-5时代数式ax-by的值。(7)

试题详情

22、加工一批零件,甲先单独做8小时,然后又与乙一起加工5小时完成任务。已知乙每小时比甲少加工2个零件,零件共350个。问甲、乙两人每小时各加工多少个零件?

试题详情

21、有甲乙两种债券,年利率分别是10%与12%,现有400元债券,一年后获利45元,问两 种债券各有多少?

试题详情

20、一个学生有中国邮票和外国邮票共325张,中国邮票的张数比外国邮票的张数的2倍少2张,这个学生有中国邮票和外国邮票各多少张?(8分)

试题详情

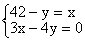
19、用加减法解

试题详情

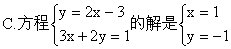
17、用代入法解

18加减法解     

试题详情

16、用代入法解          

试题详情

14、下列说法正确的            [ ] A.二元一次方程2x+3y=17的正整数解有2组      15、某校运动员分组训练,若每组7人,余3人;若每组8人,则缺5人;设运动员人数为x人,组数为y组,则列方程组为                    [  ]

A、  B、  C、      D、

试题详情

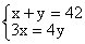
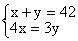
12、在方程4x-3y=12中,若x=0,那么对应的y值应为:     [ ]  A、4    B、-4    C、3     D、-3 13、甲、乙两数之和是42,甲数的3倍等于乙数的4倍,求甲、乙两数.若设甲数为x,乙数为y,列方程组           [ ]       正确的个数为:

A.1个     B.2个    C.3个    D.4个

试题详情


同步练习册答案