题目列表(包括答案和解析)

 0  71389  71397  71403  71407  71413  71415  71419  71425  71427  71433  71439  71443  71445  71449  71455  71457  71463  71467  71469  71473  71475  71479  71481  71483  71484  71485  71487  71488  71489  71491  71493  71497  71499  71503  71505  71509  71515  71517  71523  71527  71529  71533  71539  71545  71547  71553  71557  71559  71565  71569  71575  71583  447348 

25、如图,在矩形ABCD中,AB=2,AD=4,DE=2CE,F为BC上一点,过F作GF∥AE,交AB于G,过G作GH⊥AE于H,若设BF=x,四边形GHEF的面积为S。

 (1)求S△BGF(用x表示);

 (2)求S关于x的关系式。

试题详情

24、(满分8分)如下图,八个正数排成一排,从第三个数开始,每个数都等于它前面两个数的乘积。现在用六个纸片盖住了其中的六个数,只露出第五个数是,第八个数是,请说出第一个数是什么?

 □,□,□,□,,□,□,

试题详情

23、甲、乙两列火车各长180米,如果两列车相对行驶,从车头相遇到车尾离开共需12秒;如果两列车同向行驶,那么从甲的车头遇到乙的车尾直到甲的车尾超过乙的车头共需60秒。若两车速度不变,求甲、乙两车的速度。

试题详情

22、(满分7分)对于实数x,y,我们规定其运算x※y=axy+b+2。若1※2=870,2※3=884,求:3b+5a-600的值。

试题详情

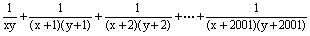
21、(满分7分)观察下面式子,根据你得到的规律回答:

=____;=____;=____;

…… ……

的值(要有过程)。

试题详情

20、如图,在△ABC中,点P自点A向点C运动,过P作PE∥CB交AB于点E,作PF∥AB交BC于点F。问是否存在点P,使平行四边形PEBF是菱形?若存在,用尺规作图找到该点,并说明理由;否则也说明原因。

 

试题详情

19、已知+(xy-2)2=0,

 求的值。

试题详情

18、边长分别是3,5,8的三个正方体被粘合在一起,在这些用各种方式粘合在一起的立体中,表面积最小的那个立体的表面积是____。

试题详情

17、多项式x2+y2-6x+8y+7的最小值为____。

试题详情

16、如图,E为平行四边形ABCD边上的一点,且AE=AD,AC与BE交于点O,若△AOE的面积为5cm2,则梯形ABCE的面积是____。

试题详情


同步练习册答案