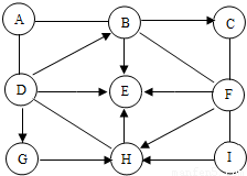
如图中的A-I表示几种初中化学常见的纯净物.且分别是由H.C.O.S.Cl.Na.Ca中的两种或两种以上元素组成.其中A.E.H是氧化物,A中氧元素质量分数为60%,I俗称小苏打.C.I分别与足量F反应的生成物相同.图中“- 表示两端的物质间能发生化学反应:“→ 表示物质间存在转化关系,部分反应物或生成物已略去. (1)写出:E的化学式为 .I的化学式为 . (2)在C物质的水溶液中滴加无色酚酞溶液.溶渡显 色. (3)写出A和B反应的化学方程式 . (4)写出G发生分解反应的化学方程式: . 查看更多

 

题目列表(包括答案和解析)

如图中的A~I表示几种初中化学常见的纯净物,且分别是由H、C、O、S、Cl、Na、Ca中的两种或两种以上元素组成.其中A、E、H是氧化物;A中氧元素质量分数为60%;I俗称小苏打,C、I分别与足量F反应的生成物相同.图中“﹣”表示两端的物质间能发生化学反应:“→”表示物质间存在转化关系;部分反应物或生成物已略去.
(1)写出I的化学式     ;E的化学式     
(2)在C物质的水溶液中滴加无色酚酞溶液,酚酞溶液显    色.
(3)写出A和B反应的化学方程式           
(4)写出G发生分解反应的化学方程式        

查看答案和解析>>

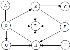
如图中的A~I表示几种初中化学常见的纯净物,且分别是由H、C、O、S、Cl、Na、Ca中的两种或两种以上元素组成.其中A、E、H是氧化物;A中氧元素质量分数为60%;I俗称小苏打,C、I分别与足量F反应的生成物相同.图中“-”表示两端的物质间能发生化学反应:“→”表示物质间存在转化关系;部分反应物或生成物已略去.
(1)写出I的化学式______;E的化学式______.
(2)在C物质的水溶液中滴加无色酚酞溶液,酚酞溶液显______色.
(3)写出A和B反应的化学方程式______.
(4)写出G发生分解反应的化学方程式______ CaO+CO2

查看答案和解析>>

如图中的A~I表示几种初中化学常见的纯净物,且分别是由H、C、O、S、Cl、Na、Ca中的两种或两种以上元素组成.其中A、E、H是氧化物;A中氧元素质量分数为60%;I俗称小苏打,C、I分别与足量F反应的生成物相同.图中“-”表示两端的物质间能发生化学反应:“→”表示物质间存在转化关系;部分反应物或生成物已略去.
(1)写出I的化学式______;E的化学式______.
(2)在C物质的水溶液中滴加无色酚酞溶液,酚酞溶液显______色.
(3)写出A和B反应的化学方程式______.
(4)写出G发生分解反应的化学方程式______ CaO+CO2

查看答案和解析>>

如图中的A~I表示几种初中化学常见的纯净物,且分别是由H、C、O、S、Cl、Na、Ca中的两种或两种以上元素组成.其中A、E、H是氧化物;A中氧元素质量分数为60%;I俗称小苏打,C、I分别与足量F反应的生成物相同.图中“-”表示两端的物质间能发生化学反应:“→”表示物质间存在转化关系;部分反应物或生成物已略去.
(1)写出I的化学式______;E的化学式______.
(2)在C物质的水溶液中滴加无色酚酞溶液,酚酞溶液显______色.
(3)写出A和B反应的化学方程式______.
(4)写出G发生分解反应的化学方程式______ CaO+CO2

查看答案和解析>>

如图中的A~I表示几种初中化学常见的纯净物,且分别是由H、C、O、S、Cl、Na、Ca中的两种或两种以上元素组成.其中A、E、H是氧化物;A中氧元素质量分数为60%;I俗称小苏打,C、I分别与足量F反应的生成物相同.图中“-”表示两端的物质间能发生化学反应:“→”表示物质间存在转化关系;部分反应物或生成物已略去.
(1)写出I的化学式______;E的化学式______.
(2)在C物质的水溶液中滴加无色酚酞溶液,酚酞溶液显______色.
(3)写出A和B反应的化学方程式______.
(4)写出G发生分解反应的化学方程式______ CaO+CO2

查看答案和解析>>


同步练习册答案