记等差数列{an}的前n项和为Sn.利用倒序求和的方法.可将Sn表示成首项a1.末项an与项数n的一个关系式.即公式Sn=,类似地.记等比数列{bn}的前n项积为Tn.且bn>0(n∈N*).试类比等差数列求和的方法.可将Tn表示成首项b1.末项bn与项数n的一个关系式.即公式Tn= . 解析 利用等比数列性质.即若m+n=p+q.则bm·bn=bp·bq. 得T=(b1b2-bn)·(bnbn-1-b2b1)=(b1bn)n.即Tn=(b1bn). 答案 (b1bn) 查看更多

 

题目列表(包括答案和解析)

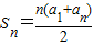
记等差数列{an} 的前n项和Sn,利用倒序求和的方法得:Sn=
n( a1+an)2
;类似的,记等比数列{bn}的前n项的积为Tn,且bn>0(n∈N+),试类比等差数列求和的方法,可将Tn表示成首项b1,末项bn与项数n的一个关系式,即公式Tn=
 

查看答案和解析>>

记等差数列{an}的前n项的和为Sn,利用倒序求和的方法得:Sn=
n(a1+an)
2
;类似地,记等比数列{bn}的前n项的积为Tn,且bn>0(n∈N*),试类比等差数列求和的方法,将Tn表示成首项b1,末项bn与项数n的一个关系式,即Tn=
(b1bn)
n
2
(b1bn)
n
2

查看答案和解析>>

记等差数列{an}的前n项的和为Sn,利用倒序求和的方法得:Sn=
n(a1+an)
2
;类似地,记等比数列{bn}的前n项的积为Tn,且bn>0(n∈N*),试类比等差数列求和的方法,将Tn表示成首项b1,末项bn与项数n的一个关系式,即Tn=______.

查看答案和解析>>

记等差数列{an}的前n项的和为Sn,利用倒序求和的方法得:;类似地,记等比数列{bn}的前n项的积为Tn,且,试类比等差数列求和的方法,将Tn表示成首项b1,末项bn与项数n的一个关系式,即Tn=   

查看答案和解析>>

记等差数列{an}的前n项的和为Sn,利用倒序求和的方法得:数学公式;类似地,记等比数列{bn}的前n项的积为Tn,且数学公式,试类比等差数列求和的方法,将Tn表示成首项b1,末项bn与项数n的一个关系式,即Tn=________.

查看答案和解析>>


同步练习册答案