若等差数列{an}的首项为a1.公差为d.前n项的和为Sn.则数列为等差数列.且通项为=a1+(n-1)·.类似地.若各项均为正数的等比数列{bn}的首项为b1.公比为q.前n项的积为Tn.则数列{}为等比数列.通项为 . 解析 由等差数列与等比数列的运算类比.可得=b1()n-1.答案 =b1()n-1 查看更多

 

题目列表(包括答案和解析)

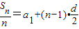
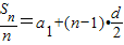
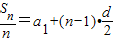
若等差数列{an}的首项为a1,公差为d,前n项的和为Sn,则数列{
Sn
n
}为等差数列,且通项为
Sn
n
=a1+(n-1)
d
2
.类似地,请完成下列命题:若各项均为正数的等比数列{bn}的首项为b1,公比为q,前n项的积为Tn,则数列
{
nTn
}
{
nTn
}
为等比数列且通项为
nTn
=b1
q
n-1
nTn
=b1
q
n-1

查看答案和解析>>

若等差数列{an}的首项为a1,公差为d,前n项的和为Sn,则数列{
Sn
n
}为等差数列,且通项为
Sn
n
=a1+(n-1)
d
2
.类似地,请完成下列命题:若各项均为正数的等比数列{bn}的首项为b1,公比为q,前n项的积为Tn,则数列______为等比数列且通项为______.

查看答案和解析>>

若等差数列{an}的首项为a1,公差为d,前n项的和为Sn,则数列为等差数列,且通项为.类似地,请完成下列命题:若各项均为正数的等比数列{bn}的首项为b1,公比为q,前n项的积为Tn,则   

查看答案和解析>>

若等差数列{an}的首项为a1,公差为d,前n项的和为Sn,则数列为等差数列,且通项为.类似地,请完成下列命题:若各项均为正数的等比数列{bn}的首项为b1,公比为q,前n项的积为Tn,则   

查看答案和解析>>

若等差数列{an}的首项为a1,公差为d,前n项的和为Sn,则数列为等差数列,且通项为.类似地,请完成下列命题:若各项均为正数的等比数列{bn}的首项为b1,公比为q,前n项的积为Tn,则   

查看答案和解析>>


同步练习册答案