18.染发剂中含有着色剂对苯二胺(C6H8N2).它是一种有毒的化学药品.会对染发者的身体带来伤害.根据化学式计算: (1)对苯二胺的相对分子质量. (2)对苯二胺中氢元素的质量分数. 查看更多

 

题目列表(包括答案和解析)

染发常用到的着色剂——对苯二胺,化学式为C6H8N2,是一种有毒的化学药品,有致癌性,下列说法正确的是(   )

A.对苯二胺中含N2分子     B.对苯二胺中碳、氢、氮元素的质量比为6:8:2

C.对苯二胺由6个碳原子、8个氢原子和2个氮原子组成

D.对苯二胺中碳元素的质量分数的表达式为

查看答案和解析>>

染发时用到的着色剂中常含有对苯二胺,化学式为C6H8N2 ,是一种有毒化学药品,有致癌性,下列说法正确的是(    )

  A.对苯二胺中含有N2分子 

  B.对苯二胺中碳、氢、氮元素的质量比为6∶8∶2  

  C.对苯二胺由6个碳原子、8个氢原子和2个氮原子组成    

  D.对苯二胺中碳元素的质量分数表达式为

 

查看答案和解析>>

(2011四川宜宾,9题)染发常用到的着色剂——对苯二胺,化学式为C6H8N2,是一种有毒的化学药品,有致癌性,下列说法正确的是(  )
A.对苯二胺中含N2分子
B.对苯二胺中碳、氢、氮元素的质量比为6:8:2
C.对苯二胺由6个碳原子、8个氢原子和2个氮原子组成
D.对苯二胺中碳元素的质量分数的表达式为

查看答案和解析>>

(2011四川宜宾,9题)染发常用到的着色剂——对苯二胺,化学式为C6H8N2,是一种有毒的化学药品,有致癌性,下列说法正确的是(   )

A.对苯二胺中含N2分子    

B.对苯二胺中碳、氢、氮元素的质量比为6:8:2

C.对苯二胺由6个碳原子、8个氢原子和2个氮原子组成

D.对苯二胺中碳元素的质量分数的表达式为

 

 

查看答案和解析>>

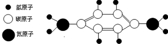
有些年轻人喜欢染发,染发时一般要用一种着色剂﹣﹣对苯二胺,它是一种有毒的化学药品,有致癌性,会对染发者的身体带来伤害,其分子结构如图所示,下列有关对苯二胺的说法不正确的是
[     ]
A.对苯二胺的化学式为C6H8N2
B.对苯二胺的相对分子质量为108
C.对苯二胺中碳、氢、氮元素的质量比为3:4:1
D.每一个对苯二胺中含有58个质子

查看答案和解析>>


同步练习册答案