4.如下图.若执行该程序.输出结果为48.则输入值为( ) A.4 B.5 C.6 D.7 查看更多

 

题目列表(包括答案和解析)

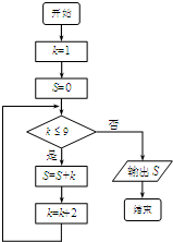
精英家教网某程序的框图如图所示,若执行该程序,输出的S值为(  )

查看答案和解析>>

某程序的框图如右图所示,若执行该程序,输出的值为(   )

A. 45                   B.36        C.25                          D.16

 

查看答案和解析>>

某程序的框图如右图所示,若执行该程序,输出的值为(   )

A. 45         B.36        C.25        D.16

 

 

 

 

 

查看答案和解析>>

(2013•内江二模)已知程序框图如图所示,则执行该程序后输出结果是(  )

查看答案和解析>>

某算法的程序框图如右图所示,若该程序的输出结果为8,则应该是

 

 

(A)6             (B)5   

(C)4             (D)3

 

查看答案和解析>>


同步练习册答案