6.已知等差数列.且它们的前n项和Sn有最大值.则使得的n的最大值是 ( ) A.11 B.19 C.20 D.21 查看更多

 

题目列表(包括答案和解析)

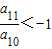
已知数列为等差数列,若,且它们的前n项和有最大值,
则使得的n的最大值为(  ).

A.11 B.19 C.20 D.21

查看答案和解析>>

已知数列为等差数列,若,且它们的前n项和有最大值,
则使得的n的最大值为(  ).
A.11B.19C.20D.21

查看答案和解析>>

已知数列{an}为等差数列,若,且它们的前n项和Sn有最大值,则使得Sn<0的n的最小值为( )
A.11
B.19
C.20
D.21

查看答案和解析>>

已知数列{an}为等差数列,若,且它们的前n项和Sn有最大值,则使得Sn>0的n的最大值为( )
A.11
B.19
C.20
D.21

查看答案和解析>>

已知数列{an}为等差数列,若,且它们的前n项和Sn有最大值,则使得Sn>0的n的最大值为( )
A.11
B.19
C.20
D.21

查看答案和解析>>


同步练习册答案