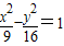
15.与双曲线有共同的渐近线.且焦点在y轴上的双曲线的离心率为 查看更多

 

题目列表(包括答案和解析)

与双曲线有共同的渐近线,且焦点在y轴上的双曲线的离心率为(    )。

查看答案和解析>>

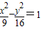
与双曲线有共同的渐近线,且经过点A(-3,)的双曲线的一个焦点到一条渐近线的距离是( )
A.8
B.4
C.2
D.1

查看答案和解析>>

与双曲线有共同的渐近线,且经过点A(-3,)的双曲线的一个焦点到一条渐近线的距离是( )
A.8
B.4
C.2
D.1

查看答案和解析>>

与双曲线有共同的渐近线,且经过点A(-3,)的双曲线的一个焦点到一条渐近线的距离是( )
A.8
B.4
C.2
D.1

查看答案和解析>>

与双曲线有共同的渐近线,且经过点A(-3,)的双曲线的一个焦点到一条渐近线的距离是( )
A.8
B.4
C.2
D.1

查看答案和解析>>


同步练习册答案