9.数列{an}满足= ( ) A. B. C. D. 查看更多

 

题目列表(包括答案和解析)

数列{an}满足a1=
3
2
,an+1=an2-an+1(n∈N*),Sn为数列{
1
an
}
的前n项和,则S2012∈(  )

查看答案和解析>>

数列{an}满足an+1+3Sn=1(n∈N*),则数列{an}(  )

查看答案和解析>>

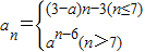
数列{an}满足:且{an}是递增数列,则实数a的范围是( )
A.
B.
C.(1,3)
D.(2,3)

查看答案和解析>>

数列{an}满足:且{an}是递增数列,则实数a的范围是( )
A.
B.
C.(1,3)
D.(2,3)

查看答案和解析>>

数列{an}满足:且{an}是递增数列,则实数a的范围是( )
A.
B.
C.(1,3)
D.(2,3)

查看答案和解析>>


同步练习册答案