11.已知函数.满足对任意的都有 成立.则的取值范围是 ( ) A. B. C. D. 查看更多

 

题目列表(包括答案和解析)

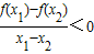
已知函数.满足对任意的都有 成

立,则的取值范围是                                                                                    (    )

    A.           B.                                        C.        D.

 

查看答案和解析>>

已知函数.满足对任意的都有 成

立,则的取值范围是                     (    )

       A.           B.               C.   D.

查看答案和解析>>

已知函数,满足对任意,都有成立,则的取值范围是    (  )

A. B.(1,2] C.(1,3) D.

查看答案和解析>>

已知函数,满足对任意,都有成立,则的取值范围是    (  )
A.B.(1,2]C.(1,3)D.

查看答案和解析>>

已知函数,满足对任意x1≠x2,都有成立,则a的取值范围是   

查看答案和解析>>


同步练习册答案