23.写出 的所有可能的产物. 查看更多

 

题目列表(包括答案和解析)

写出下列各有机物的结构简式:

(1)当0.2 mol烃A在氧气中完全燃烧时生成CO2和H2O各1.2 mol,催化加氢后生成2,2-二甲基丁烷,则A的结构式为___________。

(2)某炔烃和H2充分加成生成2,5-二甲基己烷,该炔烃的结构简式为___________。

(3)某烃1 mol与2 mol HCl完全加成,生成的氯代烷烃最多还可以与4 mol氯气反应,则该烃的结构简式为_________________________________。

(4)分子式为C6H12的某烯烃的所有的碳原子都在同一平面上,则该烯烃的结构简式为______________________。

(5)某烷烃A蒸气的密度是相同状况下氢气密度的64倍,经测定得知A分子中共含6个甲基。

①若A不可能是烯烃与氢气加成的产物,A的结构简式为______________________。

②若A是炔烃与氢气加成的产物,A的结构简式为______________________。

查看答案和解析>>

(8分)已知A的产量通常用来衡量一个国家的石油化工水平,D的结构可用右下图模型表示。现以A为主要原料合成F和高分子化合物E,其合成路线如下图所示。

   (1)A的结构式为             。 B中含官能团名称为           

   (2)写出反应的化学方程式

①:                           反应类型:        

②:                           反应类型:          

   (3)实验室怎样鉴别B和D?

   (4)在实验室里我们可以用如图所示的装置来制取F,乙中所盛的试剂为         ,该溶液的主要作用是           ;该装置图中有一个明显的错误是                      

 

查看答案和解析>>

(16分)已知A的产量通常用来衡量一个国家的石油化工水平,D的结构可用右下图模型表示。现以A为主要原料合成F和高分子化合物E,其合成路线如下图所示。

D的结构

 
 


(1)A的结构式为      。 B中含官能团名称为            ;

(2)写出反应的化学方程式

①:                            反应类型:        

②:                            反应类型:          

(3)实验室怎样鉴别B和D?                     

(4)在实验室里我们可以用如图所示的装置来制取F,乙中所盛的试剂为    ,该溶液的主要作用是            ;该装置图中有一个明显的错误是                      。

 

 

 

查看答案和解析>>

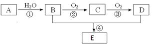
(14分)已知A的产量通常用来衡量一个国家的石油化工水平,现以A为主要原料合成一种具有果香味的物质E,其合成路线如下图所示。

请回答下列问题:
(1)写出A的电子式                         
B、D分子中的官能团名称分别是                              
(2)写出下列反应的化学方程式,并注明反应类型:
                                              ;反应类型:             ;
                                                   
                                               ;反应类型:            ;
(3)生成乙酸乙酯的反应是可逆反应,反应物不能完全转化为生成物,反应一段时间后,就达到了该反应的限度,即达到化学平衡状态。下列描述能说明该反应已达到化学平衡状态的是(填序号)        
①单位时间里,生成1mol乙酸乙酯,同时生成1mol水 
②单位时间里,生成1mol乙酸乙酯,同时生成1mol乙酸
③单位时间里,消耗1mol乙醇,同时消耗1mol乙酸    
④生成物中乙酸乙酯的物质的量不再变化

查看答案和解析>>

已知A的产量通常用来衡量一个国家的石油化工水平,现以A为主要原料合成一种具有果香味的物质E,其合成路线如下图所示。

请回答下列问题:
(1)写出A的电子式                      
(2)B、D分子中的官能团名称分别是                                      
(3)写出下列反应的化学方程式:
                                                           ;
                                                           
                                                           
(4)化学课外兴趣小组学生在实验室里制取的A中常混有少量的二氧化硫,老师启发他们设计了如右图实验以确认上述混合气体中有A和SO2。回答下列问题:

①I、II、III、IV装置可盛放的试剂是I     ;II     ;III    ;IV     。(填字母)
A、品红溶液   B、NaOH溶液   C、浓硫酸   D、酸性KMnO4溶液
②使用装置III的目的是                     

查看答案和解析>>


同步练习册答案