已知定义域为的函数是奇函数. (Ⅰ)求的值, (Ⅱ)若对任意的.不等式恒成立.求的取值范围, 9设为实数.函数. (1)若.求的取值范围, (2)求的最小值, (3)设函数.直接写出不等式的解集. 查看更多

 

题目列表(包括答案和解析)

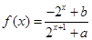
(06年重庆卷文)(12分)

已知定义域为的函数是奇函数。

(Ⅰ)求的值;

(Ⅱ)若对任意的,不等式恒成立,求的取值范围;

查看答案和解析>>

(2012•威海二模)函数f(x)的定义域为A,若存在非零实数t,使得对于任意x∈C(C⊆A)有x+t∈A,且f(x+t)≤f(x),则称f(x)为C上的t度低调函数.已知定义域为的函数f(x)=-|mx-3|,且f(x)为[0,+∞)上的6度低调函数,那么实数m的取值范围是(  )

查看答案和解析>>

已知定义域为的函数是奇函数.

(1)求的值;

(2)判断函数的单调性,并证明.

 

查看答案和解析>>

(本小题满分12分)

 

已知定义域为的函数同时满足以下三个条件:

①对任意,总有

③若,则有成立.

(I)求的值;

(II)判断函数在区间上是否同时适合①②③,并给出证明.

 

查看答案和解析>>

已知定义域为的函数满足:①对任意,恒有成立;当时,。给出如下结论:

①对任意,有;②函数的值域为;③存在,使得;④“函数在区间上单调递减”的充要条件是 “存在,使得

”。

其中所有正确结论的序号是               

查看答案和解析>>


同步练习册答案