36.在平面直角坐标系xOy中.第Ⅰ象限存在沿y轴负方向的匀强电场.第Ⅳ象限存在垂直于坐标平面向外的匀强磁场.磁感应强度为B.一质量为m.电荷量为q的带正电的粒子从y轴正半轴上的M点以速度v0垂直于y轴射入电场.经x轴上的N点与x轴正方向成θ=60°角射入磁场.最后从y轴负半轴上的P点垂直于y轴射出磁场.如图所示.不计粒子重力.求 (1)M.N两点间的电势差UMN, (2)粒子在磁场中运动的轨道半径r, (3)粒子从M点运动到P点的总时间t. 查看更多

 

题目列表(包括答案和解析)

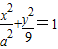
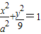
在平面直角坐标系xOy中,已知圆心在第二象限,半径为2
2
的圆C与直线y=x相切于坐标原点O.椭圆
x2
a2
+
y2
9
=1与圆C的一个交点到椭圆两焦点的距离之和为10.
(1)求圆C的方程;
(2)试探求C上是否存在异于原点的点Q,使Q到椭圆右焦点F的距离等于线段OF的长.若存在,请求出点Q的坐标;若不存在,请说明理由.

查看答案和解析>>

在平面直角坐标系xOy中,F是抛物线C:x2=2py(p>0)的焦点,M是抛物线C上位于第一象限内的任意一点,过M,F,O三点的圆的圆心为Q,点Q到抛物线C的准线的距离为
32

(Ⅰ)求抛物线C的方程;
(Ⅱ)是否存在点M,使得直线MQ与抛物线C相切于点M?若存在,求出点M的坐标;若不存在,说明理由.

查看答案和解析>>

在平面直角坐标系xOy中,F是抛物线C:x2=2py(p>0)的焦点,M是抛物线C上位于第一象限内的任意一点,过M,F,O三点的圆的圆心为Q,点Q到抛物线C的准线的距离为

(Ⅰ)求抛物线C的方程;

(Ⅱ)是否存在点M,使得直线MQ与抛物线C相切于点M?若存在,求出点M的坐标;若不存在,说明理由;

(Ⅲ)若点M的横坐标为,直线l:y=kx+与抛物线C有两个不同的交点A,B,l与圆Q有两个不同的交点D,E,求当≤k≤2时,的最小值。

查看答案和解析>>

在平面直角坐标系xoy中,已知圆C的圆心在第二象限,半径为且与直线y=x相切于原点O.椭圆与圆C的一个交点到椭圆两焦点的距离之和为10.
(1)求圆C的方程;
(2)圆C上是否存在点Q,使O、Q关于直线CF(C为圆心,F为椭圆右焦点)对称,若存在,请求出点Q的坐标;若不存在,请说明理由.

查看答案和解析>>

在平面直角坐标系xoy中,已知圆C的圆心在第二象限,半径为且与直线y=x相切于原点O.椭圆与圆C的一个交点到椭圆两焦点的距离之和为10.
(1)求圆C的方程;
(2)圆C上是否存在点Q,使O、Q关于直线CF(C为圆心,F为椭圆右焦点)对称,若存在,请求出点Q的坐标;若不存在,请说明理由.

查看答案和解析>>


同步练习册答案