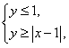
已知x.y满足.则的最大值. 查看更多

 

题目列表(包括答案和解析)

已知实数x、y满足,则z=2x+3y的最大值为(    )。

查看答案和解析>>

已知实数x、y满足,则x+2y的最大值是(    )。

查看答案和解析>>

已知变量x、y满足约束条件1≤x+y≤4,-2≤x-y≤2。若目标函数z=ax+y(其中a>0)仅在点(3,1)处取得最大值,则a的取值范围是             

 

查看答案和解析>>

已知实数x、y满足三个不等式:3x+4y≤12,x+4y≥4,3x+2y≥6,则xy的最大值是(    )。

查看答案和解析>>

已知实数x、y满足条件,则z=x+2y的最大值为(    )。

查看答案和解析>>


同步练习册答案