7.已知函数是R上的减函数.A是其图象上的两点. 那么不等式的解集是 ( ) (B) (C) (D) 查看更多

 

题目列表(包括答案和解析)

已知函数是R上的减函数,那么a的取值范围为

[  ]
A.

B.

(0,1)

C.

D.

查看答案和解析>>

已知f(x)是R上的减函数,A(0,-2)、B(-3,2)是图象上的两点,那么不等式|f(x-2)|>2的解集是(    )

A.(-1,2)                                   B.(-∞,1)∪(4,+∞)

C.(-∞,-1)∪(2,+∞)                   D.(-∞,-3)∪(0,+∞)

查看答案和解析>>

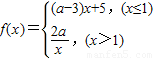
已知函数是R上的减函数则a的取值范围是( )
A.(0,3)
B.(0,3]
C.(0,2)
D.(0,2]

查看答案和解析>>

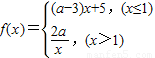
已知函数是R上的减函数则a的取值范围是( )
A.(0,3)
B.(0,3]
C.(0,2)
D.(0,2]

查看答案和解析>>

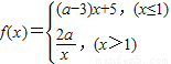
已知函数是R上的减函数则a的取值范围是( )
A.(0,3)
B.(0,3]
C.(0,2)
D.(0,2]

查看答案和解析>>


同步练习册答案