3.数列1.3.6.10.15.--的递推公式是 A. B. C. D. 查看更多

 

题目列表(包括答案和解析)

数列1,3,6,10,15,…的递推公式是(  )

查看答案和解析>>

数列1,3,6,10,15,…的递推公式是

A.                                  B.

C.                  D.

查看答案和解析>>

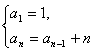
数列1,3,6,10,15,…的递推公式是


  1. A.
    数学公式
  2. B.
    数学公式
  3. C.
    数学公式
  4. D.
    数学公式

查看答案和解析>>

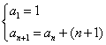
数列1,3,6,10,15,…的递推公式是
[     ]
A.
B.
C.
D.

查看答案和解析>>

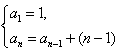
数列1,3,6,10,15,…的递推公式是
[     ]
A、
B、,n∈N* ,n≥2
C、,n∈N* ,n≥2
D、,n∈N*

查看答案和解析>>


同步练习册答案