(1)芳香烃: ,(2)卤代烃: ,(3)醇: ,(4)酚: , (5)醛: , (6)酮: ,(7)羧酸: ,(8)酯: . 24 被提纯的物质 除杂所用的最佳试剂 分离操作名称 1 溴苯 (Br2) 2 C2H2 (H2S) 3 CH4 (C2H4) 查看更多

 

题目列表(包括答案和解析)

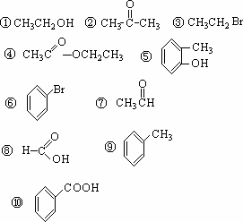
请根据官能团的不同对下列有机物进行分类。

(1)芳香烃:______;(2)卤代烃:______;
(3)醇:______;(4)酚:________;(5)醛:________;
(6)酮:____________;(7)羧酸:____________;
(8)酯:______________。

查看答案和解析>>

请根据官能团的不同对下列有机物进行分类.

(1)芳香烃:________;

(2)卤代烃:________;

(3)醇:________;

(4)酚:________;

(5)醛:________;

(6)酮:________;

(7)羧酸:______;

(8)酯:________.

查看答案和解析>>

请根据官能团的不同对下列有机物进行分类.

(1)芳香烃:________

(2)卤代烃:________

(3)醇:________

(4)酚:________

(5)醛:________

(6)酮:________

(7)羧酸:________

(8)酯:________

查看答案和解析>>

请根据官能团的不同对下列有机物进行分类。

(1)芳香烃:     ;(2)卤代烃:    ;(3)醇:     ;(4)酚:      

(5)醛:      ; (6)酮:      ;(7)羧酸:     ;(8)酯:     

查看答案和解析>>

请同学们根据官能团的不同对下列有机物进行分类.

(1)芳香烃:________;(2)卤代烃:________(3)醇:________;(4)酚:________;(5)醛:________;(6)酯:________

查看答案和解析>>


同步练习册答案