3.数列{an}中.an=2n-12.Sn是其前n项和.当Sn取最小值时.n= A.11或12 B.12或13 C.5或6 D.6或7 查看更多

 

题目列表(包括答案和解析)

若数列{an}的前n项和Sn是(1+x)n二项展开式中各项系数的和(n=1,2,3,…).
(1)求{an}的通项公式;
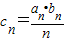
(2)若数列{bn}满足b1=-1,bn+1=bn+(2n-1),且,求数列{cn}的通项及其前n项和Tn.
(3)求证:Tn•Tn+2<Tn+12

查看答案和解析>>

若数列{an}的前n项和Sn是(1+x)n二项展开式中各项系数的和(n=1,2,3,…).
(1)求{an}的通项公式;
(2)若数列{bn}满足b1=-1,bn+1=bn+(2n-1),且,求数列{cn}的通项及其前n项和Tn.
(3)求证:Tn•Tn+2<Tn+12

查看答案和解析>>

若数列{an}的前n项和Sn是(1+x)n二项展开式中各项系数的和(n=1,2,3,…).
(1)求{an}的通项公式;
(2)若数列{bn}满足b1=-1,bn+1=bn+(2n-1),且,求数列{cn}的通项及其前n项和Tn.
(3)求证:Tn•Tn+2<Tn+12

查看答案和解析>>

若数列{an}的前n项和Sn是(1+x)n二项展开式中各项系数的和(n=1,2,3,…).
(1)求{an}的通项公式;
(2)若数列{bn}满足b1=-1,bn+1=bn+(2n-1),且,求数列{cn}的通项及其前n项和Tn.
(3)求证:Tn•Tn+2<Tn+12

查看答案和解析>>

若数列{an}的前n项和Sn是(1+x)n二项展开式中各项系数的和(n=1,2,3,…).
(1)求{an}的通项公式;
(2)若数列{bn}满足b1=-1,bn+1=bn+(2n-1),且,求数列{cn}的通项及其前n项和Tn.
(3)求证:Tn•Tn+2<Tn+12

查看答案和解析>>


同步练习册答案