4.椭圆的焦距等于2.则m的值为( ) A.5或3 B.8 C.5 D.16 查看更多

 

题目列表(包括答案和解析)

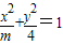
椭圆的焦距等于2,则m的值为(  )

A.5或3                       B.8                              C.5                              D.16

查看答案和解析>>

椭圆的焦距等于2,则m的值为( )
A.5或3
B.5
C.8
D.16

查看答案和解析>>

椭圆的焦距等于2,则m的值为( )
A.5或3
B.5
C.8
D.16

查看答案和解析>>

椭圆的焦距等于2,则m的值为( )
A.5或3
B.5
C.8
D.16

查看答案和解析>>

若椭圆的焦距等于2,则m的值为(  )

A.10 B.7 C.10或4 D.7或5

查看答案和解析>>


同步练习册答案