方程的图象是 查看更多

 

题目列表(包括答案和解析)

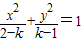
方程的图象是双曲线,则k取值范围是( )
A.k<1
B.k>2
C.k<1或k>2
D.1<k<2

查看答案和解析>>

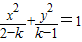
方程的图象是双曲线,则k取值范围是( )
A.k<1
B.k>2
C.k<1或k>2
D.1<k<2

查看答案和解析>>

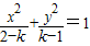
方程的图象是双曲线,则k取值范围是( )
A.k<1
B.k>2
C.k<1或k>2
D.1<k<2

查看答案和解析>>

方程的图象是双曲线,则k取值范围是( )
A.k<1
B.k>2
C.k<1或k>2
D.1<k<2

查看答案和解析>>

方程的图象是双曲线,则k取值范围是( )
A.k<1
B.k>2
C.k<1或k>2
D.1<k<2

查看答案和解析>>


同步练习册答案